Vectors Examples

Jika kamu sedang mencari Vectors Examples, maka anda berada di halaman yang tepat. Kami menyediakan aneka Vectors Examples yang bisa anda pesan online. Silakan hubungi kami via +6282245078486, jangan lupa sertakan juka gambar yang diinginkan.

Kami mengirim paket Vectors Examples melalui berbagai ekspedisi, misalnya JNE, JNT, POS, dll. Kami juga menerima pembayaran via BCA/Mandiri/dll. Pengiriman biasanya tidak sampai seminggu sudah sampai dan kami sertakan pula nomor resi yang bisa digunakan untuk tracking barang secara online.

vectors mathtec

Tidak hanya Vectors Examples, anda juga bisa melihat gambar lain seperti List 3, Vector Database, Real Life, What is, Daily Life, Digital Art, Graphics, Physics, Space, Resultant, and English.

Berbagai Contoh Vectors Examples

Berikut kami sertakan berbagai contoh gambar untuk Vectors Examples, silakan save gambar di bawah dengan klik tombol pesan, anda akan kami arahkan pemesanan via WA ke +6282245078486.

examples  vectors  math  physics 1280×720

examples vectors math physics

Order Sekarang

scalars  vectors  examples differences properties 1200×675

scalars vectors examples differences properties

Order Sekarang

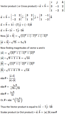
examples  vectors  scientific diagram 543×416

examples vectors scientific diagram

Order Sekarang

extraordinary vectors examples 1200×675

extraordinary vectors examples

Order Sekarang

chapter  vectors examples powerpoint 1024×768

chapter vectors examples powerpoint

Order Sekarang

real life examples  vectors precision explained 1200×675

real life examples vectors precision explained

Order Sekarang

vectors mathtec 788×463

vectors mathtec

Order Sekarang

vectors physics tutorials 749×533

vectors physics tutorials

Order Sekarang

vectors definition types examples video studycom 0 x 0

vectors definition types examples video studycom

Order Sekarang

vectors questions properties types examples  worksheet 1024×508

vectors questions properties types examples worksheet

Order Sekarang

vectors  mathematics stemkbcom 400×353

vectors mathematics stemkbcom

Order Sekarang

vectors tutorial mathematics revision 1176×648

vectors tutorial mathematics revision

Order Sekarang

learn  vectors  mathematics  examples testbookcom 250×398

learn vectors mathematics examples testbookcom

Order Sekarang

vectors basic introduction 864×794

vectors basic introduction

Order Sekarang

standard vectors 1952×1364

standard vectors

Order Sekarang

vectors 2480×3509

vectors

Order Sekarang

vectors  rbioc book 1576×676

vectors rbioc book

Order Sekarang

vectors definition properties types examples faqs 680×401

vectors definition properties types examples faqs

Order Sekarang

vectors short note sciencequery 1414×2000

vectors short note sciencequery

Order Sekarang

vectors  scalars gcse physics explained  examples 1024×818

vectors scalars gcse physics explained examples

Order Sekarang

solution types  vectors full explanation  examples studypool 1620×2300

solution types vectors full explanation examples studypool

Order Sekarang

introduction  vectors examples solutions worksheets  games 531×284

introduction vectors examples solutions worksheets games

Order Sekarang

types  vectors definition   vectors cbse tuts 294×102

types vectors definition vectors cbse tuts

Order Sekarang

types  vectors definition types properties examples 868×734

types vectors definition types properties examples

Order Sekarang

fig  vectors   collinear examples 945×945

fig vectors collinear examples

Order Sekarang

vectors explained simple  comprehensive guide andrea minini 600×450

vectors explained simple comprehensive guide andrea minini

Order Sekarang

vectors ipptx 640×360

vectors ipptx

Order Sekarang

education students career   vectors  real life 1600×747

education students career vectors real life

Order Sekarang

introduction  vectors league  learning 1100×820

introduction vectors league learning

Order Sekarang

Temukan solusi terbaik untuk kenyamanan ruang Anda dengan Vectors Examples! Produk peredam suara dan panas ini menawarkan performa maksimal dengan harga yang terjangkau. Dapatkan kualitas unggul tanpa menguras kantong, dan nikmati suasana tenang serta sejuk di setiap sudut rumah atau kantor Anda. Pilih Vectors Examples – pilihan cerdas untuk investasi jangka panjang!

Tidak ada hasil untuk penelusuran kata kunci Vectors Examples

NO RESULT FOUND

Maaf, tidak ada yang cocok dengan kriteria yang Anda cari.

Apa yang ingin Anda lakukan?
« kembali ke Beranda atau gunakan kotak pencarian dibawah ini untuk mulai penelusuran baru.

Social Media & Marketplace
Chat via Whatsapp

Ada yang ditanyakan?
Klik untuk chat dengan customer support kami

Raisa
● online
Benu
● online
Raisa
● online
Halo, perkenalkan saya Raisa
baru saja
Ada yang bisa saya bantu?
baru saja
Produk Quick Order

Pemesanan dapat langsung menghubungi kontak dibawah:

Vectors Examples

Jika kamu sedang mencari Vectors Examples, maka anda berada di halaman yang tepat. Kami menyediakan aneka Vectors Examples yang bisa anda pesan online. Silakan hubungi kami via +6282245078486, jangan lupa sertakan juka gambar yang diinginkan.

Kami mengirim paket Vectors Examples melalui berbagai ekspedisi, misalnya JNE, JNT, POS, dll. Kami juga menerima pembayaran via BCA/Mandiri/dll. Pengiriman biasanya tidak sampai seminggu sudah sampai dan kami sertakan pula nomor resi yang bisa digunakan untuk tracking barang secara online.

examples  vectors  scientific diagram

Tidak hanya Vectors Examples, anda juga bisa melihat gambar lain seperti List 3, Vector Database, Real Life, What is, Daily Life, Digital Art, Graphics, Physics, Space, Resultant, and English.

Berbagai Contoh Vectors Examples

Berikut kami sertakan berbagai contoh gambar untuk Vectors Examples, silakan save gambar di bawah dengan klik tombol pesan, anda akan kami arahkan pemesanan via WA ke +6282245078486.

examples  vectors  math  physics 1280×720

examples vectors math physics

Order Sekarang

scalars  vectors  examples differences properties 1200×675

scalars vectors examples differences properties

Order Sekarang

examples  vectors  scientific diagram 543×416

examples vectors scientific diagram

Order Sekarang

extraordinary vectors examples 1200×675

extraordinary vectors examples

Order Sekarang

chapter  vectors examples powerpoint 1024×768

chapter vectors examples powerpoint

Order Sekarang

real life examples  vectors precision explained 1200×675

real life examples vectors precision explained

Order Sekarang

vectors mathtec 788×463

vectors mathtec

Order Sekarang

0 x 0

Order Sekarang

vectors physics tutorials 749×533

vectors physics tutorials

Order Sekarang

vectors definition types examples video studycom 0 x 0

vectors definition types examples video studycom

Order Sekarang

vectors questions properties types examples  worksheet 1024×508

vectors questions properties types examples worksheet

Order Sekarang

vectors  mathematics stemkbcom 400×353

vectors mathematics stemkbcom

Order Sekarang

vectors tutorial mathematics revision 1176×648

vectors tutorial mathematics revision

Order Sekarang

learn  vectors  mathematics  examples testbookcom 250×398

learn vectors mathematics examples testbookcom

Order Sekarang

vectors basic introduction 864×794

vectors basic introduction

Order Sekarang

standard vectors 1952×1364

standard vectors

Order Sekarang

vectors 2480×3509

vectors

Order Sekarang

vectors  rbioc book 1576×676

vectors rbioc book

Order Sekarang

vectors definition properties types examples faqs 680×401

vectors definition properties types examples faqs

Order Sekarang

vectors short note sciencequery 1414×2000

vectors short note sciencequery

Order Sekarang

vectors  scalars gcse physics explained  examples 1024×818

vectors scalars gcse physics explained examples

Order Sekarang

solution types  vectors full explanation  examples studypool 1620×2300

solution types vectors full explanation examples studypool

Order Sekarang

introduction  vectors examples solutions worksheets  games 531×284

introduction vectors examples solutions worksheets games

Order Sekarang

types  vectors definition   vectors cbse tuts 294×102

types vectors definition vectors cbse tuts

Order Sekarang

types  vectors definition types properties examples 868×734

types vectors definition types properties examples

Order Sekarang

fig  vectors   collinear examples 945×945

fig vectors collinear examples

Order Sekarang

vectors explained simple  comprehensive guide andrea minini 600×450

vectors explained simple comprehensive guide andrea minini

Order Sekarang

vectors ipptx 640×360

vectors ipptx

Order Sekarang

education students career   vectors  real life 1600×747

education students career vectors real life

Order Sekarang

introduction  vectors league  learning 1100×820

introduction vectors league learning

Order Sekarang

Temukan solusi terbaik untuk kenyamanan ruang Anda dengan Vectors Examples! Produk peredam suara dan panas ini menawarkan performa maksimal dengan harga yang terjangkau. Dapatkan kualitas unggul tanpa menguras kantong, dan nikmati suasana tenang serta sejuk di setiap sudut rumah atau kantor Anda. Pilih Vectors Examples – pilihan cerdas untuk investasi jangka panjang!