Traversal

Jika kamu sedang mencari Traversal, maka anda berada di halaman yang tepat. Kami menyediakan aneka Traversal yang bisa anda pesan online. Silakan hubungi kami via +6282245078486, jangan lupa sertakan juka gambar yang diinginkan.

Kami mengirim paket Traversal melalui berbagai ekspedisi, misalnya JNE, JNT, POS, dll. Kami juga menerima pembayaran via BCA/Mandiri/dll. Pengiriman biasanya tidak sampai seminggu sudah sampai dan kami sertakan pula nomor resi yang bisa digunakan untuk tracking barang secara online.

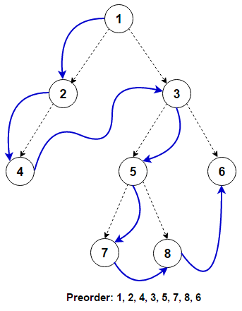
postorder tree traversal  recursion  java codespeedy

Tidak hanya Traversal, anda juga bisa melihat gambar lain seperti Clown Mask, Roblox Map, Mirror's Edge, Roblox Horror, Real World Examples, What Is Graph, Roblox Cover Art, Roblox Logo, 4-Dimensional, Animated Tree, Game Icon, and Roblox Fan Art.

Berbagai Contoh Traversal

Berikut kami sertakan berbagai contoh gambar untuk Traversal, silakan save gambar di bawah dengan klik tombol pesan, anda akan kami arahkan pemesanan via WA ke +6282245078486.

tree traversal gate cse notes 750×428

tree traversal gate cse notes

Order Sekarang

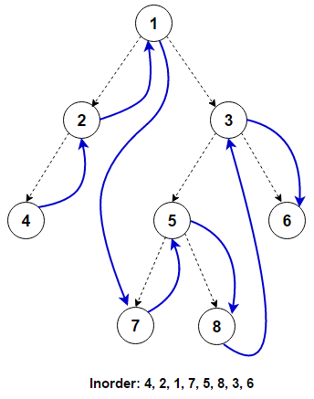
data sturcture tree traversal preorder inorder postorder yuha 603×455

data sturcture tree traversal preorder inorder postorder yuha

Order Sekarang

virtual labs 661×614

virtual labs

Order Sekarang

inorder traversal 1280×720

inorder traversal

Order Sekarang

determine  order    preorder traversal cheggcom 867×759

determine order preorder traversal cheggcom

Order Sekarang

tree traversal inorder preorder  postorder codingzap 1280×720

tree traversal inorder preorder postorder codingzap

Order Sekarang

solved traverse   tree   preorder cheggcom 700×512

solved traverse tree preorder cheggcom

Order Sekarang

understand tree traversal pre order  order  post order 1024×638

understand tree traversal pre order order post order

Order Sekarang

tree traversal powerpoint    id 1024×768

tree traversal powerpoint id

Order Sekarang

tree traversal inorder preorder  postorder 625×378

tree traversal inorder preorder postorder

Order Sekarang

solved   graph  find     order traversal 700×420

solved graph find order traversal

Order Sekarang

java program  perform  preorder tree traversal 636×480

java program perform preorder tree traversal

Order Sekarang

preorder tree traversal iterative  recursive techie delight 343×440

preorder tree traversal iterative recursive techie delight

Order Sekarang

tree traversal techniques  python geeksforgeeks 1001×501

tree traversal techniques python geeksforgeeks

Order Sekarang

postorder tree traversal  recursion  java codespeedy 1024×782

postorder tree traversal recursion java codespeedy

Order Sekarang

tree traversals  order pre order  post order pptx 2048×1152

tree traversals order pre order post order pptx

Order Sekarang

data structures   remember  order traversal  pre order 1196×1000

data structures remember order traversal pre order

Order Sekarang

java program  perform  preorder tree traversal prep insta 1024×640

java program perform preorder tree traversal prep insta

Order Sekarang

tree traversal inorder preorder postorder key notes 500×500

tree traversal inorder preorder postorder key notes

Order Sekarang

java post order traversal   general tree stack overflow 2000×1708

java post order traversal general tree stack overflow

Order Sekarang

tree traversal inorder preorder  postorder vietmxs blog 1460×728

tree traversal inorder preorder postorder vietmxs blog

Order Sekarang

data structure binary tree traversal techniques inorder preorder 602×217

data structure binary tree traversal techniques inorder preorder

Order Sekarang

answered print  tree  preorder inorder  postorder 350×159

answered print tree preorder inorder postorder

Order Sekarang

binary tree traversal preorder inorder postorder data structures 355×288

binary tree traversal preorder inorder postorder data structures

Order Sekarang

exploring tree traversal pre order  order post order  level order 1015×440

exploring tree traversal pre order order post order level order

Order Sekarang

preorder inorder postorder traversals   traversal 1280×720

preorder inorder postorder traversals traversal

Order Sekarang

solution graphs tree traversal preorder inorder postorder studypool 1620×2292

solution graphs tree traversal preorder inorder postorder studypool

Order Sekarang

tree traversal   inorder preorder  postorder  code 1002×624

tree traversal inorder preorder postorder code

Order Sekarang

solved tree traversal write  preorder inorder  cheggcom 1146×348

solved tree traversal write preorder inorder cheggcom

Order Sekarang

solved  tree traversal technique inorder preorder postorder 756×413

solved tree traversal technique inorder preorder postorder

Order Sekarang

solved give  pre order  order  post order traversal cheggcom 1033×721

solved give pre order order post order traversal cheggcom

Order Sekarang

solved give post order pre order   order traversal  cheggcom 762×740

solved give post order pre order order traversal cheggcom

Order Sekarang

Temukan solusi terbaik untuk kenyamanan ruang Anda dengan Traversal! Produk peredam suara dan panas ini menawarkan performa maksimal dengan harga yang terjangkau. Dapatkan kualitas unggul tanpa menguras kantong, dan nikmati suasana tenang serta sejuk di setiap sudut rumah atau kantor Anda. Pilih Traversal – pilihan cerdas untuk investasi jangka panjang!

Tidak ada hasil untuk penelusuran kata kunci Traversal

NO RESULT FOUND

Maaf, tidak ada yang cocok dengan kriteria yang Anda cari.

Apa yang ingin Anda lakukan?
« kembali ke Beranda atau gunakan kotak pencarian dibawah ini untuk mulai penelusuran baru.

Social Media & Marketplace
Chat via Whatsapp

Ada yang ditanyakan?
Klik untuk chat dengan customer support kami

Raisa
● online
Benu
● online
Raisa
● online
Halo, perkenalkan saya Raisa
baru saja
Ada yang bisa saya bantu?
baru saja
Produk Quick Order

Pemesanan dapat langsung menghubungi kontak dibawah:

Traversal

Jika kamu sedang mencari Traversal, maka anda berada di halaman yang tepat. Kami menyediakan aneka Traversal yang bisa anda pesan online. Silakan hubungi kami via +6282245078486, jangan lupa sertakan juka gambar yang diinginkan.

Kami mengirim paket Traversal melalui berbagai ekspedisi, misalnya JNE, JNT, POS, dll. Kami juga menerima pembayaran via BCA/Mandiri/dll. Pengiriman biasanya tidak sampai seminggu sudah sampai dan kami sertakan pula nomor resi yang bisa digunakan untuk tracking barang secara online.

traversal

Tidak hanya Traversal, anda juga bisa melihat gambar lain seperti Clown Mask, Roblox Map, Mirror's Edge, Roblox Horror, Real World Examples, What Is Graph, Roblox Cover Art, Roblox Logo, 4-Dimensional, Animated Tree, Game Icon, and Roblox Fan Art.

Berbagai Contoh Traversal

Berikut kami sertakan berbagai contoh gambar untuk Traversal, silakan save gambar di bawah dengan klik tombol pesan, anda akan kami arahkan pemesanan via WA ke +6282245078486.

traversal  angle euclidean geometry 768×1024

traversal angle euclidean geometry

Order Sekarang

traversal gamezebo 1920×1080

traversal gamezebo

Order Sekarang

traversal 963×725

traversal

Order Sekarang

tree traversal archives ee vibes 842×469

tree traversal archives ee vibes

Order Sekarang

traversal dutchyyy 700×700

traversal dutchyyy

Order Sekarang

data traversal speckle docs legacy 1532×830

data traversal speckle docs legacy

Order Sekarang

binary tree traversal csveda 960×720

binary tree traversal csveda

Order Sekarang

traversal definition  traversal    dictionary 135×112

traversal definition traversal dictionary

Order Sekarang

traversal system requirements   run  pcgamebenchmark 460×215

traversal system requirements run pcgamebenchmark

Order Sekarang

directory traversal 1920×1080

directory traversal

Order Sekarang

traversal examples macrometa 1024×768

traversal examples macrometa

Order Sekarang

introduction  graph traversal cm 864×573

introduction graph traversal cm

Order Sekarang

0 x 0

Order Sekarang

path traversal portswigger marmeuss website 1193×755

path traversal portswigger marmeuss website

Order Sekarang

traversal  graphs data structures 1080×628

traversal graphs data structures

Order Sekarang

path traversal acunetix 1024×728

path traversal acunetix

Order Sekarang

directory traversal prophaze 1200×883

directory traversal prophaze

Order Sekarang

tree traversal techniques 638×359

tree traversal techniques

Order Sekarang

traverse trees  level order traversal  python python pool 1024×727

traverse trees level order traversal python python pool

Order Sekarang

directory traversal prophaze blog 1200×630

directory traversal prophaze blog

Order Sekarang

tree traversal pptx 2048×1152

tree traversal pptx

Order Sekarang

tree traversal inorder preorder  postorder codingzap 1011×638

tree traversal inorder preorder postorder codingzap

Order Sekarang

graph traversal   ai 1280×720

graph traversal ai

Order Sekarang

graph traversal 638×359

graph traversal

Order Sekarang

valuable graph traversal algorithms 1438×832

valuable graph traversal algorithms

Order Sekarang

graph traversal mohamed essam 240×231

graph traversal mohamed essam

Order Sekarang

graph traversal code computer science bytescomputer science bytes 695×374

graph traversal code computer science bytescomputer science bytes

Order Sekarang

tree traversal techniques  python geeksforgeeks 1001×501

tree traversal techniques python geeksforgeeks

Order Sekarang

inorder tree traversal iterative  recursive techie delight 344×437

inorder tree traversal iterative recursive techie delight

Order Sekarang

traversal  definitive guide 1460×821

traversal definitive guide

Order Sekarang

Temukan solusi terbaik untuk kenyamanan ruang Anda dengan Traversal! Produk peredam suara dan panas ini menawarkan performa maksimal dengan harga yang terjangkau. Dapatkan kualitas unggul tanpa menguras kantong, dan nikmati suasana tenang serta sejuk di setiap sudut rumah atau kantor Anda. Pilih Traversal – pilihan cerdas untuk investasi jangka panjang!