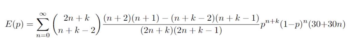
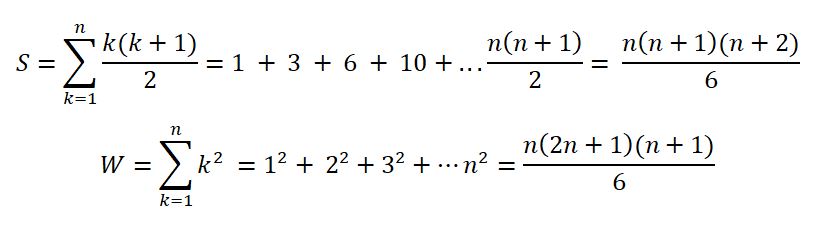
Sum Equation

Jika kamu sedang mencari Sum Equation, maka anda berada di halaman yang tepat. Kami menyediakan aneka Sum Equation yang bisa anda pesan online. Silakan hubungi kami via +6282245078486, jangan lupa sertakan juka gambar yang diinginkan.

Kami mengirim paket Sum Equation melalui berbagai ekspedisi, misalnya JNE, JNT, POS, dll. Kami juga menerima pembayaran via BCA/Mandiri/dll. Pengiriman biasanya tidak sampai seminggu sudah sampai dan kami sertakan pula nomor resi yang bisa digunakan untuk tracking barang secara online.

sum definition formula examples solved solutions cuemath

Tidak hanya Sum Equation, anda juga bisa melihat gambar lain seperti Geometric Series, Partial, Arithmetic, Right Riemann, and Roots Cubic.

Berbagai Contoh Sum Equation

Berikut kami sertakan berbagai contoh gambar untuk Sum Equation, silakan save gambar di bawah dengan klik tombol pesan, anda akan kami arahkan pemesanan via WA ke +6282245078486.

criswells math pages 1584×1224

criswells math pages

Order Sekarang

sum   sum definition formulas  examples 750×256

sum sum definition formulas examples

Order Sekarang

add numbers  excel  sum function explained 1200×627

add numbers excel sum function explained

Order Sekarang

geometric sequence equation formula tessshebaylo 1280×720

geometric sequence equation formula tessshebaylo

Order Sekarang

sum notation  blog 639×140

sum notation blog

Order Sekarang

sum definition formula examples solved solutions cuemath 989×341

sum definition formula examples solved solutions cuemath

Order Sekarang

sum definition meaning 1800×900

sum definition meaning

Order Sekarang

total sum   field 1179×2556

total sum field

Order Sekarang

sum   arithmetic series equation slideshare 422×308

sum arithmetic series equation slideshare

Order Sekarang

sum  squares formula examples 1200×675

sum squares formula examples

Order Sekarang

sum  arithmetic sequence formula derivation examples 925×566

sum arithmetic sequence formula derivation examples

Order Sekarang

sum  squares  sum  squares formula  masterclass 1200×800

sum squares sum squares formula masterclass

Order Sekarang

sum  difference examples 1280×720

sum difference examples

Order Sekarang

master riemann sum unlock  power  area approximation studypug 785×638

master riemann sum unlock power area approximation studypug

Order Sekarang

sum  maths definition examples  formulas 800×533

sum maths definition examples formulas

Order Sekarang

arithmetic sum formula astonishingceiyrs 480×501

arithmetic sum formula astonishingceiyrs

Order Sekarang

sum  sums sciences   mural  life 829×236

sum sums sciences mural life

Order Sekarang

calculus      solve  summation equation 1156×129

calculus solve summation equation

Order Sekarang

find  sum definition examples formulas dreambox 768×512

find sum definition examples formulas dreambox

Order Sekarang

sum  integers      steps  pictures 3200×2400

sum integers steps pictures

Order Sekarang

formulas sum   arithmetic series   terms mediamath 792×612

formulas sum arithmetic series terms mediamath

Order Sekarang

sum  arithmetic sequence examples  practice problems neurochispas 1243×829

sum arithmetic sequence examples practice problems neurochispas

Order Sekarang

formula  sum  series 1024×768

formula sum series

Order Sekarang

algorithms    textbook solve  summation equation 857×608

algorithms textbook solve summation equation

Order Sekarang

formula  calculating sum  excel 1280×720

formula calculating sum excel

Order Sekarang

answered compute  sum emm  bartleby 1067×663

answered compute sum emm bartleby

Order Sekarang

solved  summation formulas  rules cheggcom 1188×862

solved summation formulas rules cheggcom

Order Sekarang

sum  arithmetic sequence formula examples lesson studycom 0 x 0

sum arithmetic sequence formula examples lesson studycom

Order Sekarang

arithmetic sequence sum 1280×720

arithmetic sequence sum

Order Sekarang

sum  arithmetic sequence 1920×1080

sum arithmetic sequence

Order Sekarang

Temukan solusi terbaik untuk kenyamanan ruang Anda dengan Sum Equation! Produk peredam suara dan panas ini menawarkan performa maksimal dengan harga yang terjangkau. Dapatkan kualitas unggul tanpa menguras kantong, dan nikmati suasana tenang serta sejuk di setiap sudut rumah atau kantor Anda. Pilih Sum Equation – pilihan cerdas untuk investasi jangka panjang!

Tidak ada hasil untuk penelusuran kata kunci Sum Equation

NO RESULT FOUND

Maaf, tidak ada yang cocok dengan kriteria yang Anda cari.

Apa yang ingin Anda lakukan?
« kembali ke Beranda atau gunakan kotak pencarian dibawah ini untuk mulai penelusuran baru.

Social Media & Marketplace
Chat via Whatsapp

Ada yang ditanyakan?
Klik untuk chat dengan customer support kami

Raisa
● online
Benu
● online
Raisa
● online
Halo, perkenalkan saya Raisa
baru saja
Ada yang bisa saya bantu?
baru saja
Produk Quick Order

Pemesanan dapat langsung menghubungi kontak dibawah:

Sum Equation

Jika kamu sedang mencari Sum Equation, maka anda berada di halaman yang tepat. Kami menyediakan aneka Sum Equation yang bisa anda pesan online. Silakan hubungi kami via +6282245078486, jangan lupa sertakan juka gambar yang diinginkan.

Kami mengirim paket Sum Equation melalui berbagai ekspedisi, misalnya JNE, JNT, POS, dll. Kami juga menerima pembayaran via BCA/Mandiri/dll. Pengiriman biasanya tidak sampai seminggu sudah sampai dan kami sertakan pula nomor resi yang bisa digunakan untuk tracking barang secara online.

sum  arithmetic sequence examples  practice problems neurochispas

Tidak hanya Sum Equation, anda juga bisa melihat gambar lain seperti Geometric Series, Partial, Arithmetic, Right Riemann, and Roots Cubic.

Berbagai Contoh Sum Equation

Berikut kami sertakan berbagai contoh gambar untuk Sum Equation, silakan save gambar di bawah dengan klik tombol pesan, anda akan kami arahkan pemesanan via WA ke +6282245078486.

criswells math pages 1584×1224

criswells math pages

Order Sekarang

sum   sum definition formulas  examples 750×256

sum sum definition formulas examples

Order Sekarang

add numbers  excel  sum function explained 1200×627

add numbers excel sum function explained

Order Sekarang

geometric sequence equation formula tessshebaylo 1280×720

geometric sequence equation formula tessshebaylo

Order Sekarang

sum notation  blog 639×140

sum notation blog

Order Sekarang

sum definition formula examples solved solutions cuemath 989×341

sum definition formula examples solved solutions cuemath

Order Sekarang

sum definition meaning 1800×900

sum definition meaning

Order Sekarang

total sum   field 1179×2556

total sum field

Order Sekarang

sum   arithmetic series equation slideshare 422×308

sum arithmetic series equation slideshare

Order Sekarang

sum  squares formula examples 1200×675

sum squares formula examples

Order Sekarang

0 x 0

Order Sekarang

sum  arithmetic sequence formula derivation examples 925×566

sum arithmetic sequence formula derivation examples

Order Sekarang

sum  squares  sum  squares formula  masterclass 1200×800

sum squares sum squares formula masterclass

Order Sekarang

sum  difference examples 1280×720

sum difference examples

Order Sekarang

master riemann sum unlock  power  area approximation studypug 785×638

master riemann sum unlock power area approximation studypug

Order Sekarang

sum  maths definition examples  formulas 800×533

sum maths definition examples formulas

Order Sekarang

arithmetic sum formula astonishingceiyrs 480×501

arithmetic sum formula astonishingceiyrs

Order Sekarang

sum  sums sciences   mural  life 829×236

sum sums sciences mural life

Order Sekarang

calculus      solve  summation equation 1156×129

calculus solve summation equation

Order Sekarang

find  sum definition examples formulas dreambox 768×512

find sum definition examples formulas dreambox

Order Sekarang

sum  integers      steps  pictures 3200×2400

sum integers steps pictures

Order Sekarang

formulas sum   arithmetic series   terms mediamath 792×612

formulas sum arithmetic series terms mediamath

Order Sekarang

sum  arithmetic sequence examples  practice problems neurochispas 1243×829

sum arithmetic sequence examples practice problems neurochispas

Order Sekarang

formula  sum  series 1024×768

formula sum series

Order Sekarang

algorithms    textbook solve  summation equation 857×608

algorithms textbook solve summation equation

Order Sekarang

formula  calculating sum  excel 1280×720

formula calculating sum excel

Order Sekarang

answered compute  sum emm  bartleby 1067×663

answered compute sum emm bartleby

Order Sekarang

solved  summation formulas  rules cheggcom 1188×862

solved summation formulas rules cheggcom

Order Sekarang

sum  arithmetic sequence formula examples lesson studycom 0 x 0

sum arithmetic sequence formula examples lesson studycom

Order Sekarang

arithmetic sequence sum 1280×720

arithmetic sequence sum

Order Sekarang

sum  arithmetic sequence 1920×1080

sum arithmetic sequence

Order Sekarang

Temukan solusi terbaik untuk kenyamanan ruang Anda dengan Sum Equation! Produk peredam suara dan panas ini menawarkan performa maksimal dengan harga yang terjangkau. Dapatkan kualitas unggul tanpa menguras kantong, dan nikmati suasana tenang serta sejuk di setiap sudut rumah atau kantor Anda. Pilih Sum Equation – pilihan cerdas untuk investasi jangka panjang!