Second Moment

Jika kamu sedang mencari Second Moment, maka anda berada di halaman yang tepat. Kami menyediakan aneka Second Moment yang bisa anda pesan online. Silakan hubungi kami via +6282245078486, jangan lupa sertakan juka gambar yang diinginkan.

Kami mengirim paket Second Moment melalui berbagai ekspedisi, misalnya JNE, JNT, POS, dll. Kami juga menerima pembayaran via BCA/Mandiri/dll. Pengiriman biasanya tidak sampai seminggu sudah sampai dan kami sertakan pula nomor resi yang bisa digunakan untuk tracking barang secara online.

selected  moment statistics  scientific diagram

Tidak hanya Second Moment, anda juga bisa melihat gambar lain seperti Inertia Table, Area. Examples, Area Equation, Common Shapes, Area Diagram, Inertia Circle, Area-Table, Steel Column, Area for Rectangle, Parallel Axis Theorem, Area for Pipe, and Area Chart.

Berbagai Contoh Second Moment

Berikut kami sertakan berbagai contoh gambar untuk Second Moment, silakan save gambar di bawah dengan klik tombol pesan, anda akan kami arahkan pemesanan via WA ke +6282245078486.

moment  area  mechanical engineering physical sciences 768×1024

moment area mechanical engineering physical sciences

Order Sekarang

moment  inertia 768×1024

moment inertia

Order Sekarang

moment circle beananimals reef 236×236

moment circle beananimals reef

Order Sekarang

moment  area cylinder equation tessshebaylo 1280×720

moment area cylinder equation tessshebaylo

Order Sekarang

moment  earth ii  hours 1000×99

moment earth ii hours

Order Sekarang

moment  area beam formula   picture  beam 1024×984

moment area beam formula picture beam

Order Sekarang

moment maps  color scale  shows   moment 850×680

moment maps color scale shows moment

Order Sekarang

order  moment method semantic scholar 694×576

order moment method semantic scholar

Order Sekarang

moment 850×1100

moment

Order Sekarang

moment methods  normal distribution probability 768×1024

moment methods normal distribution probability

Order Sekarang

moment statistics  table 850×231

moment statistics table

Order Sekarang

moment  inertia  rectangular beam   picture  beam 1200×900

moment inertia rectangular beam picture beam

Order Sekarang

moment  inertia formula  rectangle hisaeagle 1465×1174

moment inertia formula rectangle hisaeagle

Order Sekarang

selected  moment statistics  scientific diagram 850×646

selected moment statistics scientific diagram

Order Sekarang

mathematics  moment  area moment  inertia  annulus 1060×953

mathematics moment area moment inertia annulus

Order Sekarang

eleven  moment  change  life  american tfp 1120×440

eleven moment change life american tfp

Order Sekarang

calculating  interpreting   moment  area 915×757

calculating interpreting moment area

Order Sekarang

moment area   beam  margie howard blog 565×546

moment area beam margie howard blog

Order Sekarang

meramu 2560×1735

meramu

Order Sekarang

moment    derivative  scientific diagram 684×386

moment derivative scientific diagram

Order Sekarang

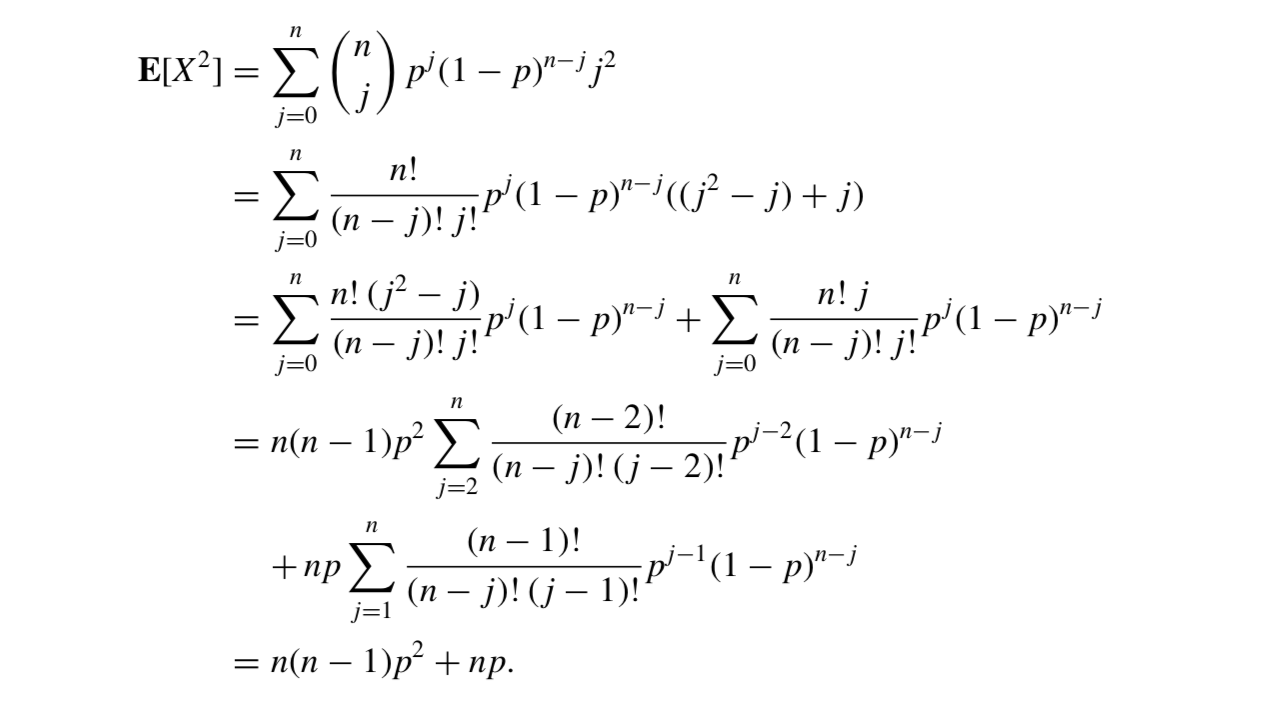
probability calculating   moment   binomial random 1282×708

probability calculating moment binomial random

Order Sekarang

solved     moment  area   cross 1024×778

solved moment area cross

Order Sekarang

graphical representation   moment 540×355

graphical representation moment

Order Sekarang

redefinition 2400×1448

redefinition

Order Sekarang

solved uwebristolwhat    moment  area   cheggcom 1699×1359

solved uwebristolwhat moment area cheggcom

Order Sekarang

solved calculate   moment  area    cheggcom 1572×1178

solved calculate moment area cheggcom

Order Sekarang

moment  intro  behance 1200×675

moment intro behance

Order Sekarang

solved  find   moment  area    horizontal axis 1024×930

solved find moment area horizontal axis

Order Sekarang

Temukan solusi terbaik untuk kenyamanan ruang Anda dengan Second Moment! Produk peredam suara dan panas ini menawarkan performa maksimal dengan harga yang terjangkau. Dapatkan kualitas unggul tanpa menguras kantong, dan nikmati suasana tenang serta sejuk di setiap sudut rumah atau kantor Anda. Pilih Second Moment – pilihan cerdas untuk investasi jangka panjang!

Tidak ada hasil untuk penelusuran kata kunci Second Moment

NO RESULT FOUND

Maaf, tidak ada yang cocok dengan kriteria yang Anda cari.

Apa yang ingin Anda lakukan?
« kembali ke Beranda atau gunakan kotak pencarian dibawah ini untuk mulai penelusuran baru.

Social Media & Marketplace
Chat via Whatsapp

Ada yang ditanyakan?
Klik untuk chat dengan customer support kami

Raisa
● online
Benu
● online
Raisa
● online
Halo, perkenalkan saya Raisa
baru saja
Ada yang bisa saya bantu?
baru saja
Produk Quick Order

Pemesanan dapat langsung menghubungi kontak dibawah:

Second Moment

Jika kamu sedang mencari Second Moment, maka anda berada di halaman yang tepat. Kami menyediakan aneka Second Moment yang bisa anda pesan online. Silakan hubungi kami via +6282245078486, jangan lupa sertakan juka gambar yang diinginkan.

Kami mengirim paket Second Moment melalui berbagai ekspedisi, misalnya JNE, JNT, POS, dll. Kami juga menerima pembayaran via BCA/Mandiri/dll. Pengiriman biasanya tidak sampai seminggu sudah sampai dan kami sertakan pula nomor resi yang bisa digunakan untuk tracking barang secara online.

moment area   beam  margie howard blog

Tidak hanya Second Moment, anda juga bisa melihat gambar lain seperti Inertia Table, Area. Examples, Area Equation, Common Shapes, Area Diagram, Inertia Circle, Area-Table, Steel Column, Area for Rectangle, Parallel Axis Theorem, Area for Pipe, and Area Chart.

Berbagai Contoh Second Moment

Berikut kami sertakan berbagai contoh gambar untuk Second Moment, silakan save gambar di bawah dengan klik tombol pesan, anda akan kami arahkan pemesanan via WA ke +6282245078486.

moment  area  mechanical engineering physical sciences 768×1024

moment area mechanical engineering physical sciences

Order Sekarang

moment  inertia 768×1024

moment inertia

Order Sekarang

moment circle beananimals reef 236×236

moment circle beananimals reef

Order Sekarang

moment  area cylinder equation tessshebaylo 1280×720

moment area cylinder equation tessshebaylo

Order Sekarang

moment  earth ii  hours 1000×99

moment earth ii hours

Order Sekarang

moment  area beam formula   picture  beam 1024×984

moment area beam formula picture beam

Order Sekarang

moment maps  color scale  shows   moment 850×680

moment maps color scale shows moment

Order Sekarang

order  moment method semantic scholar 694×576

order moment method semantic scholar

Order Sekarang

moment 850×1100

moment

Order Sekarang

moment methods  normal distribution probability 768×1024

moment methods normal distribution probability

Order Sekarang

moment statistics  table 850×231

moment statistics table

Order Sekarang

moment  inertia  rectangular beam   picture  beam 1200×900

moment inertia rectangular beam picture beam

Order Sekarang

moment  inertia formula  rectangle hisaeagle 1465×1174

moment inertia formula rectangle hisaeagle

Order Sekarang

selected  moment statistics  scientific diagram 850×646

selected moment statistics scientific diagram

Order Sekarang

0 x 0

Order Sekarang

mathematics  moment  area moment  inertia  annulus 1060×953

mathematics moment area moment inertia annulus

Order Sekarang

eleven  moment  change  life  american tfp 1120×440

eleven moment change life american tfp

Order Sekarang

calculating  interpreting   moment  area 915×757

calculating interpreting moment area

Order Sekarang

moment area   beam  margie howard blog 565×546

moment area beam margie howard blog

Order Sekarang

meramu 2560×1735

meramu

Order Sekarang

moment    derivative  scientific diagram 684×386

moment derivative scientific diagram

Order Sekarang

probability calculating   moment   binomial random 1282×708

probability calculating moment binomial random

Order Sekarang

solved     moment  area   cross 1024×778

solved moment area cross

Order Sekarang

graphical representation   moment 540×355

graphical representation moment

Order Sekarang

redefinition 2400×1448

redefinition

Order Sekarang

solved uwebristolwhat    moment  area   cheggcom 1699×1359

solved uwebristolwhat moment area cheggcom

Order Sekarang

solved calculate   moment  area    cheggcom 1572×1178

solved calculate moment area cheggcom

Order Sekarang

moment  intro  behance 1200×675

moment intro behance

Order Sekarang

solved  find   moment  area    horizontal axis 1024×930

solved find moment area horizontal axis

Order Sekarang

Temukan solusi terbaik untuk kenyamanan ruang Anda dengan Second Moment! Produk peredam suara dan panas ini menawarkan performa maksimal dengan harga yang terjangkau. Dapatkan kualitas unggul tanpa menguras kantong, dan nikmati suasana tenang serta sejuk di setiap sudut rumah atau kantor Anda. Pilih Second Moment – pilihan cerdas untuk investasi jangka panjang!