Sec Math

Jika kamu sedang mencari Sec Math, maka anda berada di halaman yang tepat. Kami menyediakan aneka Sec Math yang bisa anda pesan online. Silakan hubungi kami via +6282245078486, jangan lupa sertakan juka gambar yang diinginkan.

Kami mengirim paket Sec Math melalui berbagai ekspedisi, misalnya JNE, JNT, POS, dll. Kami juga menerima pembayaran via BCA/Mandiri/dll. Pengiriman biasanya tidak sampai seminggu sudah sampai dan kami sertakan pula nomor resi yang bisa digunakan untuk tracking barang secara online.

sec math archives singapore learner

Tidak hanya Sec Math, anda juga bisa melihat gambar lain seperti How Find, What Is Meaning, 1 Angle, Unit Circle, 3 Questions, Rule, 1, Meaning, 30$, Def, Diagram, What is, Football Teams, Saudi Arabia, Logo.png Transparent, Network Icon, Word Logo, Seal Stamp, Football Logo, Baseball Logo, Trigonometry Formula, Graduate Logo, and Logo Clip Art.

Berbagai Contoh Sec Math

Berikut kami sertakan berbagai contoh gambar untuk Sec Math, silakan save gambar di bawah dengan klik tombol pesan, anda akan kami arahkan pemesanan via WA ke +6282245078486.

sec math 768×1024

sec math

Order Sekarang

sec  math  numbers rational number 768×1024

sec math numbers rational number

Order Sekarang

plot  trigonometric functions 499×351

plot trigonometric functions

Order Sekarang

secant calculator 1000×942

secant calculator

Order Sekarang

sec   math paper   level math notes paradigm 768×1088

sec math paper level math notes paradigm

Order Sekarang

sec math archives singapore learner 720×960

sec math archives singapore learner

Order Sekarang

mathwords secant 297×174

mathwords secant

Order Sekarang

secant introduction   secant function subsection sec 332×114

secant introduction secant function subsection sec

Order Sekarang

seccareccias math sec 2550×4200

seccareccias math sec

Order Sekarang

sec function sec function 720×1344

sec function sec function

Order Sekarang

sec math integrated programme     hobbies toys books 810×1080

sec math integrated programme hobbies toys books

Order Sekarang

calculus limit  sec function mathematics stack exchange 742×243

calculus limit sec function mathematics stack exchange

Order Sekarang

secondary   math exam papers  sec   math notes paradigm 723×1024

secondary math exam papers sec math notes paradigm

Order Sekarang

trigonometric ratios definition table formula  examples 600×567

trigonometric ratios definition table formula examples

Order Sekarang

trigonometry 667×354

trigonometry

Order Sekarang

sec function  google sheets  sheets 1200×670

sec function google sheets sheets

Order Sekarang

differentiation  secx  cosecx 1149×460

differentiation secx cosecx

Order Sekarang

secant function sec 527×628

secant function sec

Order Sekarang

sec trig identity square  secant function identity 1024×747

sec trig identity square secant function identity

Order Sekarang

sec calculator sec formula secant calculator 362×362

sec calculator sec formula secant calculator

Order Sekarang

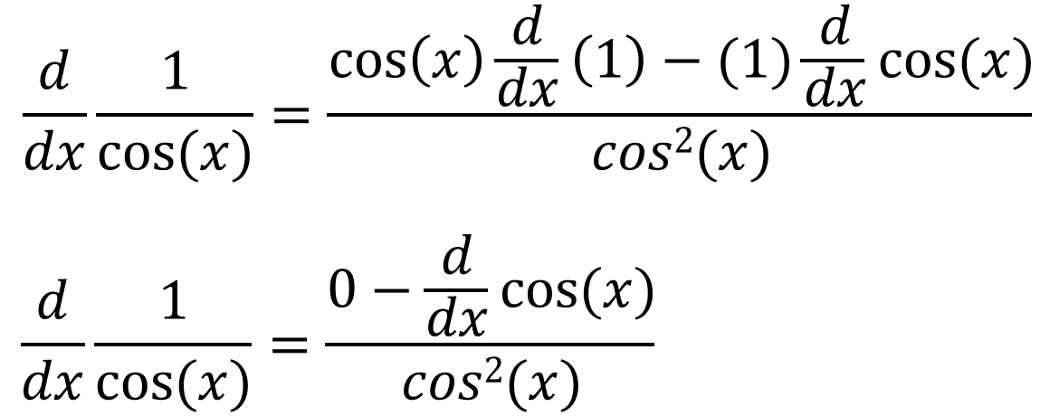
differentiation  sec  formula  examples 1200×600

differentiation sec formula examples

Order Sekarang

solved find seco seco cheggcom 700×438

solved find seco seco cheggcom

Order Sekarang

trigonometric formulas sec 1024×768

trigonometric formulas sec

Order Sekarang

sec function 331×339

sec function

Order Sekarang

graphing secant  cosecant lesson 3200×1800

graphing secant cosecant lesson

Order Sekarang

sec    diagram  calculus 767×503

sec diagram calculus

Order Sekarang

figure    find    sec  knowledgeboat 1160×884

figure find sec knowledgeboat

Order Sekarang

sec graph 802×768

sec graph

Order Sekarang

sec function  google sheets  calculate  secant 1280×800

sec function google sheets calculate secant

Order Sekarang

trigonometric functions mathematics libretexts 1200×800

trigonometric functions mathematics libretexts

Order Sekarang

Temukan solusi terbaik untuk kenyamanan ruang Anda dengan Sec Math! Produk peredam suara dan panas ini menawarkan performa maksimal dengan harga yang terjangkau. Dapatkan kualitas unggul tanpa menguras kantong, dan nikmati suasana tenang serta sejuk di setiap sudut rumah atau kantor Anda. Pilih Sec Math – pilihan cerdas untuk investasi jangka panjang!

Tidak ada hasil untuk penelusuran kata kunci Sec Math

NO RESULT FOUND

Maaf, tidak ada yang cocok dengan kriteria yang Anda cari.

Apa yang ingin Anda lakukan?
« kembali ke Beranda atau gunakan kotak pencarian dibawah ini untuk mulai penelusuran baru.

Social Media & Marketplace
Chat via Whatsapp

Ada yang ditanyakan?
Klik untuk chat dengan customer support kami

Raisa
● online
Benu
● online
Raisa
● online
Halo, perkenalkan saya Raisa
baru saja
Ada yang bisa saya bantu?
baru saja
Produk Quick Order

Pemesanan dapat langsung menghubungi kontak dibawah:

Sec Math

Jika kamu sedang mencari Sec Math, maka anda berada di halaman yang tepat. Kami menyediakan aneka Sec Math yang bisa anda pesan online. Silakan hubungi kami via +6282245078486, jangan lupa sertakan juka gambar yang diinginkan.

Kami mengirim paket Sec Math melalui berbagai ekspedisi, misalnya JNE, JNT, POS, dll. Kami juga menerima pembayaran via BCA/Mandiri/dll. Pengiriman biasanya tidak sampai seminggu sudah sampai dan kami sertakan pula nomor resi yang bisa digunakan untuk tracking barang secara online.

trigonometric functions mathematics libretexts

Tidak hanya Sec Math, anda juga bisa melihat gambar lain seperti How Find, What Is Meaning, 1 Angle, Unit Circle, 3 Questions, Rule, 1, Meaning, 30$, Def, Diagram, What is, Football Logo, Baseball Logo, Seal Stamp, Logo Clip Art, Gary Gensler, ESPN Network Logo, College Football, Conference Logo, Trigonometry Formula, and Conference Logo.png.

Berbagai Contoh Sec Math

Berikut kami sertakan berbagai contoh gambar untuk Sec Math, silakan save gambar di bawah dengan klik tombol pesan, anda akan kami arahkan pemesanan via WA ke +6282245078486.

sec math 768×1024

sec math

Order Sekarang

sec  math  numbers rational number 768×1024

sec math numbers rational number

Order Sekarang

plot  trigonometric functions 499×351

plot trigonometric functions

Order Sekarang

secant calculator 1000×942

secant calculator

Order Sekarang

sec   math paper   level math notes paradigm 768×1088

sec math paper level math notes paradigm

Order Sekarang

sec math archives singapore learner 720×960

sec math archives singapore learner

Order Sekarang

mathwords secant 297×174

mathwords secant

Order Sekarang

secant introduction   secant function subsection sec 332×114

secant introduction secant function subsection sec

Order Sekarang

seccareccias math sec 2550×4200

seccareccias math sec

Order Sekarang

sec function sec function 720×1344

sec function sec function

Order Sekarang

sec math integrated programme     hobbies toys books 810×1080

sec math integrated programme hobbies toys books

Order Sekarang

calculus limit  sec function mathematics stack exchange 742×243

calculus limit sec function mathematics stack exchange

Order Sekarang

secondary   math exam papers  sec   math notes paradigm 723×1024

secondary math exam papers sec math notes paradigm

Order Sekarang

trigonometric ratios definition table formula  examples 600×567

trigonometric ratios definition table formula examples

Order Sekarang

trigonometry 667×354

trigonometry

Order Sekarang

sec function  google sheets  sheets 1200×670

sec function google sheets sheets

Order Sekarang

differentiation  secx  cosecx 1149×460

differentiation secx cosecx

Order Sekarang

secant function sec 527×628

secant function sec

Order Sekarang

sec trig identity square  secant function identity 1024×747

sec trig identity square secant function identity

Order Sekarang

sec calculator sec formula secant calculator 362×362

sec calculator sec formula secant calculator

Order Sekarang

differentiation  sec  formula  examples 1200×600

differentiation sec formula examples

Order Sekarang

solved find seco seco cheggcom 700×438

solved find seco seco cheggcom

Order Sekarang

trigonometric formulas sec 1024×768

trigonometric formulas sec

Order Sekarang

sec function 331×339

sec function

Order Sekarang

graphing secant  cosecant lesson 3200×1800

graphing secant cosecant lesson

Order Sekarang

sec    diagram  calculus 767×503

sec diagram calculus

Order Sekarang

figure    find    sec  knowledgeboat 1160×884

figure find sec knowledgeboat

Order Sekarang

sec graph 802×768

sec graph

Order Sekarang

sec function  google sheets  calculate  secant 1280×800

sec function google sheets calculate secant

Order Sekarang

trigonometric functions mathematics libretexts 1200×800

trigonometric functions mathematics libretexts

Order Sekarang

Temukan solusi terbaik untuk kenyamanan ruang Anda dengan Sec Math! Produk peredam suara dan panas ini menawarkan performa maksimal dengan harga yang terjangkau. Dapatkan kualitas unggul tanpa menguras kantong, dan nikmati suasana tenang serta sejuk di setiap sudut rumah atau kantor Anda. Pilih Sec Math – pilihan cerdas untuk investasi jangka panjang!