Rope Data Structure

Jika kamu sedang mencari Rope Data Structure, maka anda berada di halaman yang tepat. Kami menyediakan aneka Rope Data Structure yang bisa anda pesan online. Silakan hubungi kami via +6282245078486, jangan lupa sertakan juka gambar yang diinginkan.

Kami mengirim paket Rope Data Structure melalui berbagai ekspedisi, misalnya JNE, JNT, POS, dll. Kami juga menerima pembayaran via BCA/Mandiri/dll. Pengiriman biasanya tidak sampai seminggu sudah sampai dan kami sertakan pula nomor resi yang bisa digunakan untuk tracking barang secara online.

github calincomanrope data structure

Tidak hanya Rope Data Structure, anda juga bisa melihat gambar lain seperti Splay Tree, Binary Tree, Radix Tree, Substring, Scapegoat Tree, Segment Tree, Treap, T-Tree, Suffix Tree, Top Trees, Steel Wire, Peaking Coil, For Kids, Stainless Steel Wire, Molecular, Sons Forest, Atomic, Climber, Climbing, 10,000 BC Timber, Wood, and Belt.

Berbagai Contoh Rope Data Structure

Berikut kami sertakan berbagai contoh gambar untuk Rope Data Structure, silakan save gambar di bawah dengan klik tombol pesan, anda akan kami arahkan pemesanan via WA ke +6282245078486.

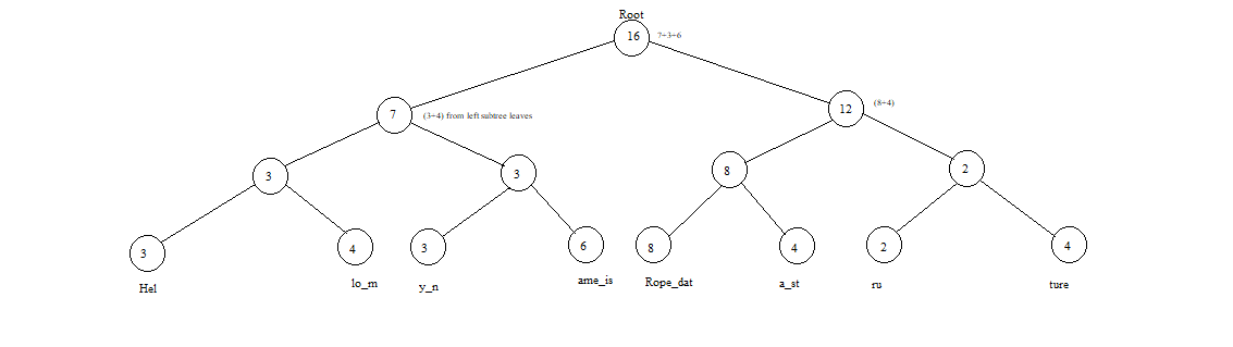
github calincomanrope data structure 1200×600

github calincomanrope data structure

Order Sekarang

rope data structure alchetron   social encyclopedia 750×591

rope data structure alchetron social encyclopedia

Order Sekarang

github adinaamzarescuropedatastructure 1200×600

github adinaamzarescuropedatastructure

Order Sekarang

rope data structure wikipedia 381×300

rope data structure wikipedia

Order Sekarang

rope data structure semantic scholar 604×552

rope data structure semantic scholar

Order Sekarang

rope  data structure   text editors  handle large strings 1133×319

rope data structure text editors handle large strings

Order Sekarang

array data structure rope tree png clipart angle area array data 728×570

array data structure rope tree png clipart angle area array data

Order Sekarang

binary tree rope data structure explanation stack overflow 447×209

binary tree rope data structure explanation stack overflow

Order Sekarang

rope data structure hd png  vhv 280×280

rope data structure hd png vhv

Order Sekarang

rope data structure explained efficient string manipulation 1024×1024

rope data structure explained efficient string manipulation

Order Sekarang

structure  rope stock photo alamy 870×1390

structure rope stock photo alamy

Order Sekarang

structure   rope stock photo alamy 1300×956

structure rope stock photo alamy

Order Sekarang

rope data structure learn    unknown data  umang 593×466

rope data structure learn unknown data umang

Order Sekarang

rope data st cau hoi phong van data structures 1200×630

rope data st cau hoi phong van data structures

Order Sekarang

rope data structure underrated data structures  algorithms medium 912×649

rope data structure underrated data structures algorithms medium

Order Sekarang

Temukan solusi terbaik untuk kenyamanan ruang Anda dengan Rope Data Structure! Produk peredam suara dan panas ini menawarkan performa maksimal dengan harga yang terjangkau. Dapatkan kualitas unggul tanpa menguras kantong, dan nikmati suasana tenang serta sejuk di setiap sudut rumah atau kantor Anda. Pilih Rope Data Structure – pilihan cerdas untuk investasi jangka panjang!

Tidak ada hasil untuk penelusuran kata kunci Rope Data Structure

NO RESULT FOUND

Maaf, tidak ada yang cocok dengan kriteria yang Anda cari.

Apa yang ingin Anda lakukan?
« kembali ke Beranda atau gunakan kotak pencarian dibawah ini untuk mulai penelusuran baru.

Social Media & Marketplace
Chat via Whatsapp

Ada yang ditanyakan?
Klik untuk chat dengan customer support kami

Raisa
● online
Benu
● online
Raisa
● online
Halo, perkenalkan saya Raisa
baru saja
Ada yang bisa saya bantu?
baru saja
Produk Quick Order

Pemesanan dapat langsung menghubungi kontak dibawah:

Rope Data Structure

Jika kamu sedang mencari Rope Data Structure, maka anda berada di halaman yang tepat. Kami menyediakan aneka Rope Data Structure yang bisa anda pesan online. Silakan hubungi kami via +6282245078486, jangan lupa sertakan juka gambar yang diinginkan.

Kami mengirim paket Rope Data Structure melalui berbagai ekspedisi, misalnya JNE, JNT, POS, dll. Kami juga menerima pembayaran via BCA/Mandiri/dll. Pengiriman biasanya tidak sampai seminggu sudah sampai dan kami sertakan pula nomor resi yang bisa digunakan untuk tracking barang secara online.

rope data structure wikipedia

Tidak hanya Rope Data Structure, anda juga bisa melihat gambar lain seperti Splay Tree, Binary Tree, Radix Tree, Substring, Scapegoat Tree, Segment Tree, Treap, T-Tree, Suffix Tree, Top Trees, Steel Wire, Peaking Coil, For Kids, Stainless Steel Wire, Molecular, Sons Forest, Atomic, Climber, Climbing, 10,000 BC Timber, Wood, and Belt.

Berbagai Contoh Rope Data Structure

Berikut kami sertakan berbagai contoh gambar untuk Rope Data Structure, silakan save gambar di bawah dengan klik tombol pesan, anda akan kami arahkan pemesanan via WA ke +6282245078486.

github calincomanrope data structure 1200×600

github calincomanrope data structure

Order Sekarang

rope data structure alchetron   social encyclopedia 750×591

rope data structure alchetron social encyclopedia

Order Sekarang

github adinaamzarescuropedatastructure 1200×600

github adinaamzarescuropedatastructure

Order Sekarang

rope data structure wikipedia 381×300

rope data structure wikipedia

Order Sekarang

rope data structure semantic scholar 604×552

rope data structure semantic scholar

Order Sekarang

rope  data structure   text editors  handle large strings 1133×319

rope data structure text editors handle large strings

Order Sekarang

array data structure rope tree png clipart angle area array data 728×570

array data structure rope tree png clipart angle area array data

Order Sekarang

binary tree rope data structure explanation stack overflow 447×209

binary tree rope data structure explanation stack overflow

Order Sekarang

rope data structure hd png  vhv 280×280

rope data structure hd png vhv

Order Sekarang

rope data structure explained efficient string manipulation 1024×1024

rope data structure explained efficient string manipulation

Order Sekarang

structure  rope stock photo alamy 870×1390

structure rope stock photo alamy

Order Sekarang

structure   rope stock photo alamy 1300×956

structure rope stock photo alamy

Order Sekarang

rope data structure learn    unknown data  umang 593×466

rope data structure learn unknown data umang

Order Sekarang

rope data st cau hoi phong van data structures 1200×630

rope data st cau hoi phong van data structures

Order Sekarang

rope data structure underrated data structures  algorithms medium 912×649

rope data structure underrated data structures algorithms medium

Order Sekarang

Temukan solusi terbaik untuk kenyamanan ruang Anda dengan Rope Data Structure! Produk peredam suara dan panas ini menawarkan performa maksimal dengan harga yang terjangkau. Dapatkan kualitas unggul tanpa menguras kantong, dan nikmati suasana tenang serta sejuk di setiap sudut rumah atau kantor Anda. Pilih Rope Data Structure – pilihan cerdas untuk investasi jangka panjang!