Parse

Jika kamu sedang mencari Parse, maka anda berada di halaman yang tepat. Kami menyediakan aneka Parse yang bisa anda pesan online. Silakan hubungi kami via +6282245078486, jangan lupa sertakan juka gambar yang diinginkan.

Kami mengirim paket Parse melalui berbagai ekspedisi, misalnya JNE, JNT, POS, dll. Kami juga menerima pembayaran via BCA/Mandiri/dll. Pengiriman biasanya tidak sampai seminggu sudah sampai dan kami sertakan pula nomor resi yang bisa digunakan untuk tracking barang secara online.

tech reviewer parse opens   uk

Tidak hanya Parse, anda juga bisa melihat gambar lain seperti Server Logo, Ingest Logo, Spatial Logo.png, JSON Logo, Icon.png, Tree Poster, Hub Logo, Platform Logo, Language School Logo, Biotech Logo, Ly Logo, Tree Diagram, Bio Logo, Colors, Ladeg, Ratnadev, Pakhane, Symbol, Server, Jensen, Logo.svg, Cast, Mbaas Logo, and Rosemary.

Berbagai Contoh Parse

Berikut kami sertakan berbagai contoh gambar untuk Parse, silakan save gambar di bawah dengan klik tombol pesan, anda akan kami arahkan pemesanan via WA ke +6282245078486.

parse 512×512

parse

Order Sekarang

parse  limeup 330×222

parse limeup

Order Sekarang

parse   code backend  helps  build apps faster  scale 348×145

parse code backend helps build apps faster scale

Order Sekarang

happened  parse   bought  facebook 3000×3000

happened parse bought facebook

Order Sekarang

parse   sentence examples  ways   parse 768×512

parse sentence examples ways parse

Order Sekarang

parse dashboard 1024×512

parse dashboard

Order Sekarang

parse tree arpeggio 1806×871

parse tree arpeggio

Order Sekarang

rosemarie parse human  theory application   nursing process 813×416

rosemarie parse human theory application nursing process

Order Sekarang

parse type  simplifies  build parse types based   parse 1600×800

parse type simplifies build parse types based parse

Order Sekarang

data parse understanding  basics  data parsing 1024×1024

data parse understanding basics data parsing

Order Sekarang

parse fully managed open source service elestio 1241×710

parse fully managed open source service elestio

Order Sekarang

parse logo png transparent svg vector freebie supply 800×600

parse logo png transparent svg vector freebie supply

Order Sekarang

parse  clear explanation  parser expert 1200×630

parse clear explanation parser expert

Order Sekarang

choose   parser features 1000×665

choose parser features

Order Sekarang

tech reviewer parse opens   uk 1386×784

tech reviewer parse opens uk

Order Sekarang

top  parse alternatives kodeco 500×500

top parse alternatives kodeco

Order Sekarang

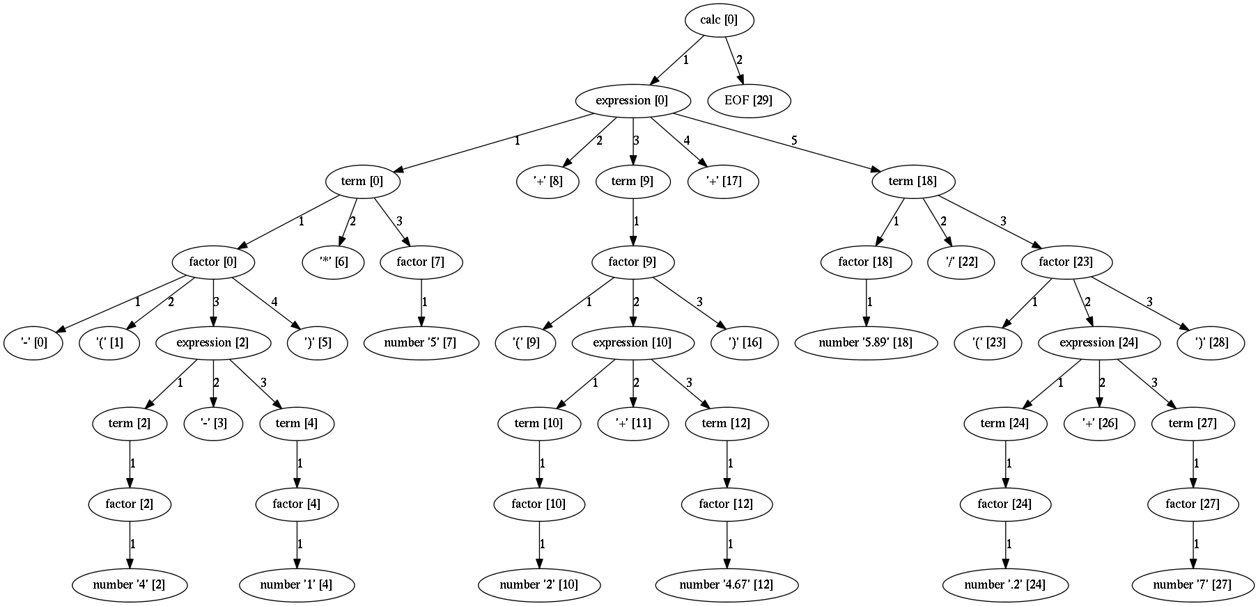
parse tree  syntax tree geeksforgeeks 1100×986

parse tree syntax tree geeksforgeeks

Order Sekarang

parse fleshes  mobile backend service  analytics background 640×554

parse fleshes mobile backend service analytics background

Order Sekarang

intro  parse  web apps  javascript time  hack 400×400

intro parse web apps javascript time hack

Order Sekarang

parse dicio dicionario  de portugues 606×454

parse dicio dicionario de portugues

Order Sekarang

facebook open sourcing parse   sdks adtmag 1400×800

facebook open sourcing parse sdks adtmag

Order Sekarang

parse  quickly build apps citrusleaf blog 1024×536

parse quickly build apps citrusleaf blog

Order Sekarang

parse resume       applying   job 1000×600

parse resume applying job

Order Sekarang

parse shutdown lowers expectation  technology open source 700×400

parse shutdown lowers expectation technology open source

Order Sekarang

understanding parse data      updated 1026×1467

understanding parse data updated

Order Sekarang

parse biosciences announces partnership  molecular diagnostics 1200×627

parse biosciences announces partnership molecular diagnostics

Order Sekarang

introduction  parse parse    mobile backend 1002×511

introduction parse parse mobile backend

Order Sekarang

parse biosciences gigalab  support mount sinai researchers 1024×512

parse biosciences gigalab support mount sinai researchers

Order Sekarang

pengertian parse   parser tujuan   kerja parse 1068×713

pengertian parse parser tujuan kerja parse

Order Sekarang

pengertian parse memahami proses penting  komputer  bahasa 1280×720

pengertian parse memahami proses penting komputer bahasa

Order Sekarang

Temukan solusi terbaik untuk kenyamanan ruang Anda dengan Parse! Produk peredam suara dan panas ini menawarkan performa maksimal dengan harga yang terjangkau. Dapatkan kualitas unggul tanpa menguras kantong, dan nikmati suasana tenang serta sejuk di setiap sudut rumah atau kantor Anda. Pilih Parse – pilihan cerdas untuk investasi jangka panjang!

Tidak ada hasil untuk penelusuran kata kunci Parse

NO RESULT FOUND

Maaf, tidak ada yang cocok dengan kriteria yang Anda cari.

Apa yang ingin Anda lakukan?
« kembali ke Beranda atau gunakan kotak pencarian dibawah ini untuk mulai penelusuran baru.

Social Media & Marketplace
Chat via Whatsapp

Ada yang ditanyakan?
Klik untuk chat dengan customer support kami

Raisa
● online
Benu
● online
Raisa
● online
Halo, perkenalkan saya Raisa
baru saja
Ada yang bisa saya bantu?
baru saja
Produk Quick Order

Pemesanan dapat langsung menghubungi kontak dibawah:

Parse

Jika kamu sedang mencari Parse, maka anda berada di halaman yang tepat. Kami menyediakan aneka Parse yang bisa anda pesan online. Silakan hubungi kami via +6282245078486, jangan lupa sertakan juka gambar yang diinginkan.

Kami mengirim paket Parse melalui berbagai ekspedisi, misalnya JNE, JNT, POS, dll. Kami juga menerima pembayaran via BCA/Mandiri/dll. Pengiriman biasanya tidak sampai seminggu sudah sampai dan kami sertakan pula nomor resi yang bisa digunakan untuk tracking barang secara online.

parse dashboard

Tidak hanya Parse, anda juga bisa melihat gambar lain seperti Server Logo, Ingest Logo, Spatial Logo.png, JSON Logo, Icon.png, Tree Poster, Hub Logo, Platform Logo, Language School Logo, Biotech Logo, Ly Logo, Tree Diagram, Bio Logo, Colors, Ladeg, Ratnadev, Pakhane, Symbol, Server, Jensen, Logo.svg, Cast, Mbaas Logo, and Rosemary.

Berbagai Contoh Parse

Berikut kami sertakan berbagai contoh gambar untuk Parse, silakan save gambar di bawah dengan klik tombol pesan, anda akan kami arahkan pemesanan via WA ke +6282245078486.

parse 512×512

parse

Order Sekarang

parse  limeup 330×222

parse limeup

Order Sekarang

parse   code backend  helps  build apps faster  scale 348×145

parse code backend helps build apps faster scale

Order Sekarang

happened  parse   bought  facebook 3000×3000

happened parse bought facebook

Order Sekarang

parse   sentence examples  ways   parse 768×512

parse sentence examples ways parse

Order Sekarang

parse dashboard 1024×512

parse dashboard

Order Sekarang

parse tree arpeggio 1806×871

parse tree arpeggio

Order Sekarang

rosemarie parse human  theory application   nursing process 813×416

rosemarie parse human theory application nursing process

Order Sekarang

parse type  simplifies  build parse types based   parse 1600×800

parse type simplifies build parse types based parse

Order Sekarang

data parse understanding  basics  data parsing 1024×1024

data parse understanding basics data parsing

Order Sekarang

parse fully managed open source service elestio 1241×710

parse fully managed open source service elestio

Order Sekarang

parse logo png transparent svg vector freebie supply 800×600

parse logo png transparent svg vector freebie supply

Order Sekarang

parse  clear explanation  parser expert 1200×630

parse clear explanation parser expert

Order Sekarang

choose   parser features 1000×665

choose parser features

Order Sekarang

tech reviewer parse opens   uk 1386×784

tech reviewer parse opens uk

Order Sekarang

top  parse alternatives kodeco 500×500

top parse alternatives kodeco

Order Sekarang

parse tree  syntax tree geeksforgeeks 1100×986

parse tree syntax tree geeksforgeeks

Order Sekarang

parse fleshes  mobile backend service  analytics background 640×554

parse fleshes mobile backend service analytics background

Order Sekarang

intro  parse  web apps  javascript time  hack 400×400

intro parse web apps javascript time hack

Order Sekarang

parse dicio dicionario  de portugues 606×454

parse dicio dicionario de portugues

Order Sekarang

facebook open sourcing parse   sdks adtmag 1400×800

facebook open sourcing parse sdks adtmag

Order Sekarang

parse  quickly build apps citrusleaf blog 1024×536

parse quickly build apps citrusleaf blog

Order Sekarang

parse resume       applying   job 1000×600

parse resume applying job

Order Sekarang

parse shutdown lowers expectation  technology open source 700×400

parse shutdown lowers expectation technology open source

Order Sekarang

understanding parse data      updated 1026×1467

understanding parse data updated

Order Sekarang

parse biosciences announces partnership  molecular diagnostics 1200×627

parse biosciences announces partnership molecular diagnostics

Order Sekarang

introduction  parse parse    mobile backend 1002×511

introduction parse parse mobile backend

Order Sekarang

parse biosciences gigalab  support mount sinai researchers 1024×512

parse biosciences gigalab support mount sinai researchers

Order Sekarang

pengertian parse   parser tujuan   kerja parse 1068×713

pengertian parse parser tujuan kerja parse

Order Sekarang

pengertian parse memahami proses penting  komputer  bahasa 1280×720

pengertian parse memahami proses penting komputer bahasa

Order Sekarang

Temukan solusi terbaik untuk kenyamanan ruang Anda dengan Parse! Produk peredam suara dan panas ini menawarkan performa maksimal dengan harga yang terjangkau. Dapatkan kualitas unggul tanpa menguras kantong, dan nikmati suasana tenang serta sejuk di setiap sudut rumah atau kantor Anda. Pilih Parse – pilihan cerdas untuk investasi jangka panjang!