Not Simple

Jika kamu sedang mencari Not Simple, maka anda berada di halaman yang tepat. Kami menyediakan aneka Not Simple yang bisa anda pesan online. Silakan hubungi kami via +6282245078486, jangan lupa sertakan juka gambar yang diinginkan.

Kami mengirim paket Not Simple melalui berbagai ekspedisi, misalnya JNE, JNT, POS, dll. Kami juga menerima pembayaran via BCA/Mandiri/dll. Pengiriman biasanya tidak sampai seminggu sudah sampai dan kami sertakan pula nomor resi yang bisa digunakan untuk tracking barang secara online.

simple  easy behaviorgap

Tidak hanya Not Simple, anda juga bisa melihat gambar lain seperti Easy Shirt, Life Is, Solution Graphic, Simplistic Quotes, Closed Curve, Love Is, Manga, Easy, 漫画, Easy Quote, Manga Ending, Love Quotes, Natsume Ono, Love, Meme, This Stuff Is, Solution Cartoon, Logos, Easy Quote Origin, Machine, and Loving You Is.

Berbagai Contoh Not Simple

Berikut kami sertakan berbagai contoh gambar untuk Not Simple, silakan save gambar di bawah dengan klik tombol pesan, anda akan kami arahkan pemesanan via WA ke +6282245078486.

simple synonyms similar words   simple 650×400

simple synonyms similar words simple

Order Sekarang

simple  easy 1292×1292

simple easy

Order Sekarang

simple corporate sufi 800×660

simple corporate sufi

Order Sekarang

simple 300×430

simple

Order Sekarang

simple   easy essential training 1200×630

simple easy essential training

Order Sekarang

simple    simple post  jjjwww  boldomatic 800×800

simple simple post jjjwww boldomatic

Order Sekarang

simple  behance 1080×1080

simple behance

Order Sekarang

simple mount olive ministries 640×425

simple mount olive ministries

Order Sekarang

simple blank template imgflip 423×215

simple blank template imgflip

Order Sekarang

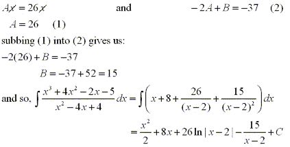
simple  easy behaviorgap 800×600

simple easy behaviorgap

Order Sekarang

simple  creative post   simple  complex  behance 1400×1400

simple creative post simple complex behance

Order Sekarang

simple poster behance 1400×1812

simple poster behance

Order Sekarang

simple calculation  stock photo  vecteezy 980×980

simple calculation stock photo vecteezy

Order Sekarang

noexcuseshr simple  easy 521×226

noexcuseshr simple easy

Order Sekarang

simple   easy lets     complicated 1000×267

simple easy lets complicated

Order Sekarang

simplenot easy hasseman marketing 711×400

simplenot easy hasseman marketing

Order Sekarang

simple doesnt   easy 901×564

simple doesnt easy

Order Sekarang

simple  easy sarah morgan 640×437

simple easy sarah morgan

Order Sekarang

simple  full   plex 1920×1080

simple full plex

Order Sekarang

simple  easy christine jayne wellness 800×615

simple easy christine jayne wellness

Order Sekarang

simple rotten tomatoes 206×305

simple rotten tomatoes

Order Sekarang

simple  simpler stock   royalty  stock 1600×1690

simple simpler stock royalty stock

Order Sekarang

simple  tv show 1440×750

simple tv show

Order Sekarang

quote   easy   simple 712×500

quote easy simple

Order Sekarang

simple tax adviser 918×833

simple tax adviser

Order Sekarang

Temukan solusi terbaik untuk kenyamanan ruang Anda dengan Not Simple! Produk peredam suara dan panas ini menawarkan performa maksimal dengan harga yang terjangkau. Dapatkan kualitas unggul tanpa menguras kantong, dan nikmati suasana tenang serta sejuk di setiap sudut rumah atau kantor Anda. Pilih Not Simple – pilihan cerdas untuk investasi jangka panjang!

Tidak ada hasil untuk penelusuran kata kunci Not Simple

NO RESULT FOUND

Maaf, tidak ada yang cocok dengan kriteria yang Anda cari.

Apa yang ingin Anda lakukan?
« kembali ke Beranda atau gunakan kotak pencarian dibawah ini untuk mulai penelusuran baru.

Social Media & Marketplace
Chat via Whatsapp

Ada yang ditanyakan?
Klik untuk chat dengan customer support kami

Raisa
● online
Benu
● online
Raisa
● online
Halo, perkenalkan saya Raisa
baru saja
Ada yang bisa saya bantu?
baru saja
Produk Quick Order

Pemesanan dapat langsung menghubungi kontak dibawah:

Not Simple

Jika kamu sedang mencari Not Simple, maka anda berada di halaman yang tepat. Kami menyediakan aneka Not Simple yang bisa anda pesan online. Silakan hubungi kami via +6282245078486, jangan lupa sertakan juka gambar yang diinginkan.

Kami mengirim paket Not Simple melalui berbagai ekspedisi, misalnya JNE, JNT, POS, dll. Kami juga menerima pembayaran via BCA/Mandiri/dll. Pengiriman biasanya tidak sampai seminggu sudah sampai dan kami sertakan pula nomor resi yang bisa digunakan untuk tracking barang secara online.

simple calculation  stock photo  vecteezy

Tidak hanya Not Simple, anda juga bisa melihat gambar lain seperti Easy Shirt, Life Is, Solution Graphic, Simplistic Quotes, Closed Curve, Love Is, Manga, Easy, 漫画, Easy Quote, Manga Ending, Love Quotes, Natsume Ono, Love, Meme, This Stuff Is, Solution Cartoon, Logos, Easy Quote Origin, Machine, and Loving You Is.

Berbagai Contoh Not Simple

Berikut kami sertakan berbagai contoh gambar untuk Not Simple, silakan save gambar di bawah dengan klik tombol pesan, anda akan kami arahkan pemesanan via WA ke +6282245078486.

simple synonyms similar words   simple 650×400

simple synonyms similar words simple

Order Sekarang

simple  easy 1292×1292

simple easy

Order Sekarang

simple corporate sufi 800×660

simple corporate sufi

Order Sekarang

simple 300×430

simple

Order Sekarang

simple   easy essential training 1200×630

simple easy essential training

Order Sekarang

simple    simple post  jjjwww  boldomatic 800×800

simple simple post jjjwww boldomatic

Order Sekarang

simple  behance 1080×1080

simple behance

Order Sekarang

simple mount olive ministries 640×425

simple mount olive ministries

Order Sekarang

simple blank template imgflip 423×215

simple blank template imgflip

Order Sekarang

simple  easy behaviorgap 800×600

simple easy behaviorgap

Order Sekarang

simple  creative post   simple  complex  behance 1400×1400

simple creative post simple complex behance

Order Sekarang

simple poster behance 1400×1812

simple poster behance

Order Sekarang

simple calculation  stock photo  vecteezy 980×980

simple calculation stock photo vecteezy

Order Sekarang

noexcuseshr simple  easy 521×226

noexcuseshr simple easy

Order Sekarang

simple   easy lets     complicated 1000×267

simple easy lets complicated

Order Sekarang

simplenot easy hasseman marketing 711×400

simplenot easy hasseman marketing

Order Sekarang

simple doesnt   easy 901×564

simple doesnt easy

Order Sekarang

simple  easy sarah morgan 640×437

simple easy sarah morgan

Order Sekarang

simple  full   plex 1920×1080

simple full plex

Order Sekarang

simple  easy christine jayne wellness 800×615

simple easy christine jayne wellness

Order Sekarang

simple rotten tomatoes 206×305

simple rotten tomatoes

Order Sekarang

simple  simpler stock   royalty  stock 1600×1690

simple simpler stock royalty stock

Order Sekarang

simple  tv show 1440×750

simple tv show

Order Sekarang

quote   easy   simple 712×500

quote easy simple

Order Sekarang

simple tax adviser 918×833

simple tax adviser

Order Sekarang

Temukan solusi terbaik untuk kenyamanan ruang Anda dengan Not Simple! Produk peredam suara dan panas ini menawarkan performa maksimal dengan harga yang terjangkau. Dapatkan kualitas unggul tanpa menguras kantong, dan nikmati suasana tenang serta sejuk di setiap sudut rumah atau kantor Anda. Pilih Not Simple – pilihan cerdas untuk investasi jangka panjang!