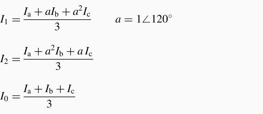
Negative Sequence

Jika kamu sedang mencari Negative Sequence, maka anda berada di halaman yang tepat. Kami menyediakan aneka Negative Sequence yang bisa anda pesan online. Silakan hubungi kami via +6282245078486, jangan lupa sertakan juka gambar yang diinginkan.

Kami mengirim paket Negative Sequence melalui berbagai ekspedisi, misalnya JNE, JNT, POS, dll. Kami juga menerima pembayaran via BCA/Mandiri/dll. Pengiriman biasanya tidak sampai seminggu sudah sampai dan kami sertakan pula nomor resi yang bisa digunakan untuk tracking barang secara online.

positive sequence  negative sequence   sequence component

Tidak hanya Negative Sequence, anda juga bisa melihat gambar lain seperti Overcurrent Protection, Voltage Relay, Current Equation, Delta Connection, Phasor Diagram, Torque Equation, Phasor Diagra, Alpha Beta, Relay Diagram, Relay Working Principle, Current Waveform, vs Positive Phase, Flips Positive, and Negative Phase Sequence.

Berbagai Contoh Negative Sequence

Berikut kami sertakan berbagai contoh gambar untuk Negative Sequence, silakan save gambar di bawah dengan klik tombol pesan, anda akan kami arahkan pemesanan via WA ke +6282245078486.

negative sequence relay definition meaning circuit globe 400×62

negative sequence relay definition meaning circuit globe

Order Sekarang

positive sequence  negative sequence   sequence component 741×318

positive sequence negative sequence sequence component

Order Sekarang

positive sequence negative sequence  sequence current waveform 801×603

positive sequence negative sequence sequence current waveform

Order Sekarang

simplified negative sequence network  scientific diagram 577×389

simplified negative sequence network scientific diagram

Order Sekarang

positive  negative sequence networks  positive sequence network 689×566

positive negative sequence networks positive sequence network

Order Sekarang

negative sequence  positive sequence fault signature 320×320

negative sequence positive sequence fault signature

Order Sekarang

negative sequence equivalent circuit  scientific diagram 660×411

negative sequence equivalent circuit scientific diagram

Order Sekarang

sel  negative sequence overcurrent testing problems valence 433×76

sel negative sequence overcurrent testing problems valence

Order Sekarang

negative phase sequence generator  carlos mcclellan blog 1615×1751

negative phase sequence generator carlos mcclellan blog

Order Sekarang

estimated negative sequence  scientific diagram 850×423

estimated negative sequence scientific diagram

Order Sekarang

simplified negative  zerosequence networks  negativesequence 850×681

simplified negative zerosequence networks negativesequence

Order Sekarang

negative sequence current  effect licchavi lyceum 348×145

negative sequence current effect licchavi lyceum

Order Sekarang

results  extracting positive sequence  negative sequence 850×438

results extracting positive sequence negative sequence

Order Sekarang

negative sequence current   transient category 850×356

negative sequence current transient category

Order Sekarang

negative sequence   negative control loop 660×393

negative sequence negative control loop

Order Sekarang

sequence method  negative sequence method results  faults 720×397

sequence method negative sequence method results faults

Order Sekarang

negative sequence protection 768×593

negative sequence protection

Order Sekarang

positive sequence negative sequence   sequence network diagram 320×320

positive sequence negative sequence sequence network diagram

Order Sekarang

schematic diagram  extracting positive sequence  negative sequence 850×248

schematic diagram extracting positive sequence negative sequence

Order Sekarang

negative sequence voltage  area   scientific diagram 850×449

negative sequence voltage area scientific diagram

Order Sekarang

negative phase sequence 1024×474

negative phase sequence

Order Sekarang

negative sequence voltage   areas  scientific diagram 650×517

negative sequence voltage areas scientific diagram

Order Sekarang

negative sequence relay operation  electricalu 571×496

negative sequence relay operation electricalu

Order Sekarang

phasor diagram  negative sequence currents  space 1482×1754

phasor diagram negative sequence currents space

Order Sekarang

negative sequence current     effect generator work 728×380

negative sequence current effect generator work

Order Sekarang

negative sequence current     affect generator work 924×400

negative sequence current affect generator work

Order Sekarang

actual negative sequence  hz current  scientific diagram 850×407

actual negative sequence hz current scientific diagram

Order Sekarang

solved draw  postive  negative sequence diagrams cheggcom 666×358

solved draw postive negative sequence diagrams cheggcom

Order Sekarang

Temukan solusi terbaik untuk kenyamanan ruang Anda dengan Negative Sequence! Produk peredam suara dan panas ini menawarkan performa maksimal dengan harga yang terjangkau. Dapatkan kualitas unggul tanpa menguras kantong, dan nikmati suasana tenang serta sejuk di setiap sudut rumah atau kantor Anda. Pilih Negative Sequence – pilihan cerdas untuk investasi jangka panjang!

Tidak ada hasil untuk penelusuran kata kunci Negative Sequence

NO RESULT FOUND

Maaf, tidak ada yang cocok dengan kriteria yang Anda cari.

Apa yang ingin Anda lakukan?
« kembali ke Beranda atau gunakan kotak pencarian dibawah ini untuk mulai penelusuran baru.

Social Media & Marketplace
Chat via Whatsapp

Ada yang ditanyakan?
Klik untuk chat dengan customer support kami

Raisa
● online
Benu
● online
Raisa
● online
Halo, perkenalkan saya Raisa
baru saja
Ada yang bisa saya bantu?
baru saja
Produk Quick Order

Pemesanan dapat langsung menghubungi kontak dibawah:

Negative Sequence

Jika kamu sedang mencari Negative Sequence, maka anda berada di halaman yang tepat. Kami menyediakan aneka Negative Sequence yang bisa anda pesan online. Silakan hubungi kami via +6282245078486, jangan lupa sertakan juka gambar yang diinginkan.

Kami mengirim paket Negative Sequence melalui berbagai ekspedisi, misalnya JNE, JNT, POS, dll. Kami juga menerima pembayaran via BCA/Mandiri/dll. Pengiriman biasanya tidak sampai seminggu sudah sampai dan kami sertakan pula nomor resi yang bisa digunakan untuk tracking barang secara online.

generator negative sequence protection electrical engineering

Tidak hanya Negative Sequence, anda juga bisa melihat gambar lain seperti Overcurrent Protection, Voltage Relay, Current Equation, Delta Connection, Phasor Diagram, Torque Equation, Phasor Diagra, Alpha Beta, Relay Diagram, Relay Working Principle, Current Waveform, vs Positive Phase, and Flips Positive.

Berbagai Contoh Negative Sequence

Berikut kami sertakan berbagai contoh gambar untuk Negative Sequence, silakan save gambar di bawah dengan klik tombol pesan, anda akan kami arahkan pemesanan via WA ke +6282245078486.

negative phase sequence   electric motor electromagnetic 768×1024

negative phase sequence electric motor electromagnetic

Order Sekarang

negative sequence current     affect generator work 768×1024

negative sequence current affect generator work

Order Sekarang

generator negative sequence protection electrical engineering 1024×674

generator negative sequence protection electrical engineering

Order Sekarang

negative sequence relay definition meaning circuit globe 200×45

negative sequence relay definition meaning circuit globe

Order Sekarang

negative phase sequence relay eeeguidecom 417×424

negative phase sequence relay eeeguidecom

Order Sekarang

positive sequence negative sequence   sequence reactance 480×270

positive sequence negative sequence sequence reactance

Order Sekarang

negative phase sequence generator  carlos mcclellan blog 1615×1751

negative phase sequence generator carlos mcclellan blog

Order Sekarang

negative   sequencedocx voltage electrical impedance 768×1024

negative sequencedocx voltage electrical impedance

Order Sekarang

induction type negative phase sequence relay eeeguide 300×288

induction type negative phase sequence relay eeeguide

Order Sekarang

negative phase sequence 1024×474

negative phase sequence

Order Sekarang

phasor diagram  negative sequence currents  space 1482×1754

phasor diagram negative sequence currents space

Order Sekarang

motor negative sequence current   fitting curve 687×446

motor negative sequence current fitting curve

Order Sekarang

negative sequence current     effect generator work 728×380

negative sequence current effect generator work

Order Sekarang

inverter model separated  positive  negative sequence circuits 134×134

inverter model separated positive negative sequence circuits

Order Sekarang

negative phase sequence relay ansi code  ralph livingston blog 1280×720

negative phase sequence relay ansi code ralph livingston blog

Order Sekarang

negative phase sequence  induction motors 371×355

negative phase sequence induction motors

Order Sekarang

meant  sequence impedance positive negative 940×788

meant sequence impedance positive negative

Order Sekarang

power system shown  fig  draw  negative sequence 1024×352

power system shown fig draw negative sequence

Order Sekarang

negative sequence currents  generator  impact protection 474×388

negative sequence currents generator impact protection

Order Sekarang

negative sequence current   load coupled  scientific 487×487

negative sequence current load coupled scientific

Order Sekarang

Temukan solusi terbaik untuk kenyamanan ruang Anda dengan Negative Sequence! Produk peredam suara dan panas ini menawarkan performa maksimal dengan harga yang terjangkau. Dapatkan kualitas unggul tanpa menguras kantong, dan nikmati suasana tenang serta sejuk di setiap sudut rumah atau kantor Anda. Pilih Negative Sequence – pilihan cerdas untuk investasi jangka panjang!