Ln Integration

Jika kamu sedang mencari Ln Integration, maka anda berada di halaman yang tepat. Kami menyediakan aneka Ln Integration yang bisa anda pesan online. Silakan hubungi kami via +6282245078486, jangan lupa sertakan juka gambar yang diinginkan.

Kami mengirim paket Ln Integration melalui berbagai ekspedisi, misalnya JNE, JNT, POS, dll. Kami juga menerima pembayaran via BCA/Mandiri/dll. Pengiriman biasanya tidak sampai seminggu sudah sampai dan kami sertakan pula nomor resi yang bisa digunakan untuk tracking barang secara online.

integral  ln  oliverkruwburns

Tidak hanya Ln Integration, anda juga bisa melihat gambar lain seperti What is, Reverse Chain Rule, Sinx Dx, Power Rule, When Use, Rules For, Parts For, Rules, Sinx, Parts, DX, 2X, Stands For, Rechengesetze, Formula Into, Binomials Formulas, and Differentiation.

Berbagai Contoh Ln Integration

Berikut kami sertakan berbagai contoh gambar untuk Ln Integration, silakan save gambar di bawah dengan klik tombol pesan, anda akan kami arahkan pemesanan via WA ke +6282245078486.

solved  integration techniques  define  integral ln cheggcom 932×683

solved integration techniques define integral ln cheggcom

Order Sekarang

list  integrals  ln 562×920

list integrals ln

Order Sekarang

solved   integration  parts   prove  cheggcom 713×341

solved integration parts prove cheggcom

Order Sekarang

solved evaluate  integration  parts integral ln cheggcom 794×550

solved evaluate integration parts integral ln cheggcom

Order Sekarang

integration properties examples formula methods 678×695

integration properties examples formula methods

Order Sekarang

solved evaluate   table  integration formulas cheggcom 394×391

solved evaluate table integration formulas cheggcom

Order Sekarang

integration  xlog  aggerty 480×360

integration xlog aggerty

Order Sekarang

integral  lnx formula proof antiderivative  lnx imath 676×442

integral lnx formula proof antiderivative lnx imath

Order Sekarang

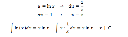
integral  ln  oliverkruwburns 349×479

integral ln oliverkruwburns

Order Sekarang

integral  lnx epsilonify 1260×709

integral lnx epsilonify

Order Sekarang

solving  integral  lnx lesson studycom 0 x 0

solving integral lnx lesson studycom

Order Sekarang

integral  lnxx epsilonify 1260×709

integral lnxx epsilonify

Order Sekarang

infor ln erp selection 2000×1064

infor ln erp selection

Order Sekarang

mixture integral  lnx  integration  parts 424×223

mixture integral lnx integration parts

Order Sekarang

integration rules 488×624

integration rules

Order Sekarang

integration  parts didactalia material educativo 419×121

integration parts didactalia material educativo

Order Sekarang

conyoh soal integral   ln  ruang siswa 1280×720

conyoh soal integral ln ruang siswa

Order Sekarang

integration  rational functions  logarithms  substitution 1280×720

integration rational functions logarithms substitution

Order Sekarang

integral  lnxx integration  parts  method youtube 0 x 0

integral lnxx integration parts method youtube

Order Sekarang

integrate lnx youtube 0 x 0

integrate lnx youtube

Order Sekarang

ln integrals youtube 0 x 0

ln integrals youtube

Order Sekarang

integrate lnx  level maths youtube 0 x 0

integrate lnx level maths youtube

Order Sekarang

ln  integration part  youtube 1280×720

ln integration part youtube

Order Sekarang

integral  ln   youtube 0 x 0

integral ln youtube

Order Sekarang

integral  lnx youtube 1280×720

integral lnx youtube

Order Sekarang

Temukan solusi terbaik untuk kenyamanan ruang Anda dengan Ln Integration! Produk peredam suara dan panas ini menawarkan performa maksimal dengan harga yang terjangkau. Dapatkan kualitas unggul tanpa menguras kantong, dan nikmati suasana tenang serta sejuk di setiap sudut rumah atau kantor Anda. Pilih Ln Integration – pilihan cerdas untuk investasi jangka panjang!

Tidak ada hasil untuk penelusuran kata kunci Ln Integration

NO RESULT FOUND

Maaf, tidak ada yang cocok dengan kriteria yang Anda cari.

Apa yang ingin Anda lakukan?
« kembali ke Beranda atau gunakan kotak pencarian dibawah ini untuk mulai penelusuran baru.

Social Media & Marketplace
Chat via Whatsapp

Ada yang ditanyakan?
Klik untuk chat dengan customer support kami

Raisa
● online
Benu
● online
Raisa
● online
Halo, perkenalkan saya Raisa
baru saja
Ada yang bisa saya bantu?
baru saja
Produk Quick Order

Pemesanan dapat langsung menghubungi kontak dibawah:

Ln Integration

Jika kamu sedang mencari Ln Integration, maka anda berada di halaman yang tepat. Kami menyediakan aneka Ln Integration yang bisa anda pesan online. Silakan hubungi kami via +6282245078486, jangan lupa sertakan juka gambar yang diinginkan.

Kami mengirim paket Ln Integration melalui berbagai ekspedisi, misalnya JNE, JNT, POS, dll. Kami juga menerima pembayaran via BCA/Mandiri/dll. Pengiriman biasanya tidak sampai seminggu sudah sampai dan kami sertakan pula nomor resi yang bisa digunakan untuk tracking barang secara online.

solved evaluate   table  integration formulas cheggcom

Tidak hanya Ln Integration, anda juga bisa melihat gambar lain seperti What is, Reverse Chain Rule, Sinx Dx, Power Rule, When Use, Rules For, Parts For, Rules, Sinx, Parts, DX, 2X, Stands For, Rechengesetze, Formula Into, Binomials Formulas, and Differentiation.

Berbagai Contoh Ln Integration

Berikut kami sertakan berbagai contoh gambar untuk Ln Integration, silakan save gambar di bawah dengan klik tombol pesan, anda akan kami arahkan pemesanan via WA ke +6282245078486.

solved  integration techniques  define  integral ln cheggcom 932×683

solved integration techniques define integral ln cheggcom

Order Sekarang

list  integrals  ln 562×920

list integrals ln

Order Sekarang

solved   integration  parts   prove  cheggcom 713×341

solved integration parts prove cheggcom

Order Sekarang

solved evaluate  integration  parts integral ln cheggcom 794×550

solved evaluate integration parts integral ln cheggcom

Order Sekarang

integration properties examples formula methods 678×695

integration properties examples formula methods

Order Sekarang

solved evaluate   table  integration formulas cheggcom 394×391

solved evaluate table integration formulas cheggcom

Order Sekarang

integration  xlog  aggerty 480×360

integration xlog aggerty

Order Sekarang

integral  lnx formula proof antiderivative  lnx imath 676×442

integral lnx formula proof antiderivative lnx imath

Order Sekarang

integral  ln  oliverkruwburns 349×479

integral ln oliverkruwburns

Order Sekarang

integral  lnx epsilonify 1260×709

integral lnx epsilonify

Order Sekarang

solving  integral  lnx lesson studycom 0 x 0

solving integral lnx lesson studycom

Order Sekarang

integral  lnxx epsilonify 1260×709

integral lnxx epsilonify

Order Sekarang

infor ln erp selection 2000×1064

infor ln erp selection

Order Sekarang

mixture integral  lnx  integration  parts 424×223

mixture integral lnx integration parts

Order Sekarang

integration rules 488×624

integration rules

Order Sekarang

integration  parts didactalia material educativo 419×121

integration parts didactalia material educativo

Order Sekarang

conyoh soal integral   ln  ruang siswa 1280×720

conyoh soal integral ln ruang siswa

Order Sekarang

integration  rational functions  logarithms  substitution 1280×720

integration rational functions logarithms substitution

Order Sekarang

integral  lnxx integration  parts  method youtube 0 x 0

integral lnxx integration parts method youtube

Order Sekarang

integrate lnx youtube 0 x 0

integrate lnx youtube

Order Sekarang

ln integrals youtube 0 x 0

ln integrals youtube

Order Sekarang

integrate lnx  level maths youtube 0 x 0

integrate lnx level maths youtube

Order Sekarang

ln  integration part  youtube 1280×720

ln integration part youtube

Order Sekarang

integral  ln   youtube 0 x 0

integral ln youtube

Order Sekarang

integral  lnx youtube 1280×720

integral lnx youtube

Order Sekarang

Temukan solusi terbaik untuk kenyamanan ruang Anda dengan Ln Integration! Produk peredam suara dan panas ini menawarkan performa maksimal dengan harga yang terjangkau. Dapatkan kualitas unggul tanpa menguras kantong, dan nikmati suasana tenang serta sejuk di setiap sudut rumah atau kantor Anda. Pilih Ln Integration – pilihan cerdas untuk investasi jangka panjang!