Linked Tree

Jika kamu sedang mencari Linked Tree, maka anda berada di halaman yang tepat. Kami menyediakan aneka Linked Tree yang bisa anda pesan online. Silakan hubungi kami via +6282245078486, jangan lupa sertakan juka gambar yang diinginkan.

Kami mengirim paket Linked Tree melalui berbagai ekspedisi, misalnya JNE, JNT, POS, dll. Kami juga menerima pembayaran via BCA/Mandiri/dll. Pengiriman biasanya tidak sampai seminggu sudah sampai dan kami sertakan pula nomor resi yang bisa digunakan untuk tracking barang secara online.

link tree definition benefits optimization strategies contentstudio

Tidak hanya Linked Tree, anda juga bisa melihat gambar lain seperti Profile Pictures, List Example, Miranda Paige Chipman, Jamie Haith, Bio Examples, YB Lim Siew Khim, Lexie Flores, Empty Dark, Logo, Double, Data, Server Logo, Service Logo, Company Icon, Portrait Logo, Finance Logo, Book Cover, List Icon, Plus Icon, White Icon.png, Vector Icons, Advertising Logo.png, and Cool Logos.

Berbagai Contoh Linked Tree

Berikut kami sertakan berbagai contoh gambar untuk Linked Tree, silakan save gambar di bawah dengan klik tombol pesan, anda akan kami arahkan pemesanan via WA ke +6282245078486.

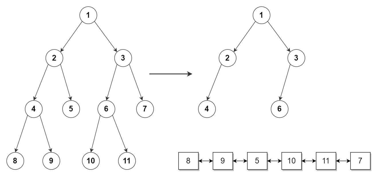
completing  linked tree  scientific diagram 850×366

completing linked tree scientific diagram

Order Sekarang

data structures tree  linked lists stack overflow 620×405

data structures tree linked lists stack overflow

Order Sekarang

viewing linked tree pathways zingtree  center 3494×2092

viewing linked tree pathways zingtree center

Order Sekarang

link tree devpost 1920×1080

link tree devpost

Order Sekarang

extract leaves   binary tree   doubly linked list techie delight 1319×623

extract leaves binary tree doubly linked list techie delight

Order Sekarang

link tree stock  images  backgrounds 1960×980

link tree stock images backgrounds

Order Sekarang

data structures tutorials binary tree representations 1200×800

data structures tutorials binary tree representations

Order Sekarang

create  link tree  react  code dose 706×1264

create link tree react code dose

Order Sekarang

link tree definition benefits optimization strategies contentstudio 1920×1080

link tree definition benefits optimization strategies contentstudio

Order Sekarang

link tree  improve  seo heytony 1000×675

link tree improve seo heytony

Order Sekarang

guide instagram link tree   build  plays 904×832

guide instagram link tree build plays

Order Sekarang

tech tips    linktree 660×380

tech tips linktree

Order Sekarang

absolute vijju vijay koshti github 4096×757

absolute vijju vijay koshti github

Order Sekarang

link  bio tool      simple link linktree 1200×630

link bio tool simple link linktree

Order Sekarang

linktreez atengageintellect 800×800

linktreez atengageintellect

Order Sekarang

linktree facebook pixel header pictures 2000×2000

linktree facebook pixel header pictures

Order Sekarang

create  linktree ways  organize  web links  connect 2026×1140

create linktree ways organize web links connect

Order Sekarang

linktree logo symbol meaning history png brand 3840×2160

linktree logo symbol meaning history png brand

Order Sekarang

linked tree representation cs homepage 1218×624

linked tree representation cs homepage

Order Sekarang

linktree    work   premium 1280×720

linktree work premium

Order Sekarang

link tree website 1898×1850

link tree website

Order Sekarang

mudah membuat linktree youtube 0 x 0

mudah membuat linktree youtube

Order Sekarang

cepat bikin linktree  praktis   perangkat 680×330

cepat bikin linktree praktis perangkat

Order Sekarang

panduan lengkap membuat linktree beserta gambar 1014×576

panduan lengkap membuat linktree beserta gambar

Order Sekarang

membuat linktree   tautan  mudah 800×450

membuat linktree tautan mudah

Order Sekarang

linktree arti fungsi contoh faqs  revou 1024×768

linktree arti fungsi contoh faqs revou

Order Sekarang

membuat linktree gratis selamanya 455×769

membuat linktree gratis selamanya

Order Sekarang

linktree  membuat akun  manfaatnya  bisnis 1400×700

linktree membuat akun manfaatnya bisnis

Order Sekarang

Temukan solusi terbaik untuk kenyamanan ruang Anda dengan Linked Tree! Produk peredam suara dan panas ini menawarkan performa maksimal dengan harga yang terjangkau. Dapatkan kualitas unggul tanpa menguras kantong, dan nikmati suasana tenang serta sejuk di setiap sudut rumah atau kantor Anda. Pilih Linked Tree – pilihan cerdas untuk investasi jangka panjang!

Tidak ada hasil untuk penelusuran kata kunci Linked Tree

NO RESULT FOUND

Maaf, tidak ada yang cocok dengan kriteria yang Anda cari.

Apa yang ingin Anda lakukan?
« kembali ke Beranda atau gunakan kotak pencarian dibawah ini untuk mulai penelusuran baru.

Social Media & Marketplace
Chat via Whatsapp

Ada yang ditanyakan?
Klik untuk chat dengan customer support kami

Raisa
● online
Benu
● online
Raisa
● online
Halo, perkenalkan saya Raisa
baru saja
Ada yang bisa saya bantu?
baru saja
Produk Quick Order

Pemesanan dapat langsung menghubungi kontak dibawah:

Linked Tree

Jika kamu sedang mencari Linked Tree, maka anda berada di halaman yang tepat. Kami menyediakan aneka Linked Tree yang bisa anda pesan online. Silakan hubungi kami via +6282245078486, jangan lupa sertakan juka gambar yang diinginkan.

Kami mengirim paket Linked Tree melalui berbagai ekspedisi, misalnya JNE, JNT, POS, dll. Kami juga menerima pembayaran via BCA/Mandiri/dll. Pengiriman biasanya tidak sampai seminggu sudah sampai dan kami sertakan pula nomor resi yang bisa digunakan untuk tracking barang secara online.

create  link tree  react  code dose

Tidak hanya Linked Tree, anda juga bisa melihat gambar lain seperti Profile Pictures, List Example, Miranda Paige Chipman, Jamie Haith, Bio Examples, YB Lim Siew Khim, Lexie Flores, Empty Dark, Logo, Double, Data, Server Logo, Service Logo, Company Icon, Portrait Logo, Finance Logo, Book Cover, List Icon, Plus Icon, White Icon.png, Vector Icons, Advertising Logo.png, and Cool Logos.

Berbagai Contoh Linked Tree

Berikut kami sertakan berbagai contoh gambar untuk Linked Tree, silakan save gambar di bawah dengan klik tombol pesan, anda akan kami arahkan pemesanan via WA ke +6282245078486.

completing  linked tree  scientific diagram 850×366

completing linked tree scientific diagram

Order Sekarang

data structures tree  linked lists stack overflow 620×405

data structures tree linked lists stack overflow

Order Sekarang

viewing linked tree pathways zingtree  center 3494×2092

viewing linked tree pathways zingtree center

Order Sekarang

link tree devpost 1920×1080

link tree devpost

Order Sekarang

extract leaves   binary tree   doubly linked list techie delight 1319×623

extract leaves binary tree doubly linked list techie delight

Order Sekarang

link tree stock  images  backgrounds 1960×980

link tree stock images backgrounds

Order Sekarang

data structures tutorials binary tree representations 1200×800

data structures tutorials binary tree representations

Order Sekarang

create  link tree  react  code dose 706×1264

create link tree react code dose

Order Sekarang

link tree definition benefits optimization strategies contentstudio 1920×1080

link tree definition benefits optimization strategies contentstudio

Order Sekarang

link tree  improve  seo heytony 1000×675

link tree improve seo heytony

Order Sekarang

guide instagram link tree   build  plays 904×832

guide instagram link tree build plays

Order Sekarang

tech tips    linktree 660×380

tech tips linktree

Order Sekarang

absolute vijju vijay koshti github 4096×757

absolute vijju vijay koshti github

Order Sekarang

link  bio tool      simple link linktree 1200×630

link bio tool simple link linktree

Order Sekarang

linktreez atengageintellect 800×800

linktreez atengageintellect

Order Sekarang

linktree facebook pixel header pictures 2000×2000

linktree facebook pixel header pictures

Order Sekarang

create  linktree ways  organize  web links  connect 2026×1140

create linktree ways organize web links connect

Order Sekarang

linktree logo symbol meaning history png brand 3840×2160

linktree logo symbol meaning history png brand

Order Sekarang

linked tree representation cs homepage 1218×624

linked tree representation cs homepage

Order Sekarang

linktree    work   premium 1280×720

linktree work premium

Order Sekarang

link tree website 1898×1850

link tree website

Order Sekarang

mudah membuat linktree youtube 0 x 0

mudah membuat linktree youtube

Order Sekarang

cepat bikin linktree  praktis   perangkat 680×330

cepat bikin linktree praktis perangkat

Order Sekarang

panduan lengkap membuat linktree beserta gambar 1014×576

panduan lengkap membuat linktree beserta gambar

Order Sekarang

membuat linktree   tautan  mudah 800×450

membuat linktree tautan mudah

Order Sekarang

linktree arti fungsi contoh faqs  revou 1024×768

linktree arti fungsi contoh faqs revou

Order Sekarang

membuat linktree gratis selamanya 455×769

membuat linktree gratis selamanya

Order Sekarang

linktree  membuat akun  manfaatnya  bisnis 1400×700

linktree membuat akun manfaatnya bisnis

Order Sekarang

Temukan solusi terbaik untuk kenyamanan ruang Anda dengan Linked Tree! Produk peredam suara dan panas ini menawarkan performa maksimal dengan harga yang terjangkau. Dapatkan kualitas unggul tanpa menguras kantong, dan nikmati suasana tenang serta sejuk di setiap sudut rumah atau kantor Anda. Pilih Linked Tree – pilihan cerdas untuk investasi jangka panjang!