Hasil Penelusuran

104 hasil penelusuran untuk kata kunci: K 1

*Hasil penelusuran dapat berupa postingan produk, artikel blog & halaman.

Edisi Terbatas
Jual Castable Cor Tahan Api Berkualitas – Harga Terbaik 1600

Dalam dunia industri, keandalan dan ketahanan bahan sangatlah penting. Salah satu solusi yang banyak dicari adalah penggunaan castable cor tahan api. Bahan ini tidak hanya memberikan perlindungan optimal, tetapi juga memastikan efisiensi dalam proses produksi. Terutama untuk pelapis tungku baja yang beroperasi pada suhu tinggi hingga 1600 derajat Celsius. Mari kita telusuri lebih dalam tentang… selengkapnya

Peredam Suara Yumen Akustik 15mm Efektif Murah

Peredam Suara Yumen Akustik 15mm Board dibuat dengan menggunakan serat kayu dan semen portland yang dirancang khusus untuk menyerap suara dan meningkatkan kualitas akustik ruangan. Yumen Akustik Board dirancang untuk meningkatkan kenyamanan dan estetika ruangan. Produk ini dapat dipasang di dinding atau plafon untuk mengurangi kebisingan dan memberikan suasana tenang. Dengan Yumen Board, ruangan Anda… selengkapnya

Edisi Terbatas
Gypsum Soundstop Peredam Suara 12mm – Panel Akustik Anti Bising Terbaik

Gypsum Soundstop Peredam Suara 12mm – Panel Akustik Anti Bising Terbaik Gypsum Soundstop 12mm adalah panel akustik premium yang dirancang khusus untuk meredam suara secara maksimal pada berbagai jenis ruangan. Dengan material gypsum berperforma tinggi dan teknologi lapisan akustik modern, Soundstop menjadi solusi terbaik untuk menciptakan hunian maupun ruang kerja yang lebih tenang, nyaman, dan… selengkapnya

Paling Laris
Plafon Akustik 60x120cm Byhua Surabaya Murah

Ini adalah Plafon Akustik Byhua yang memiliki finishing cat dan perforasi yang menambahkan sentuhan estetika pada ruangan. Desainnya juga sangat dekoratif sehingga cocok untuk semua jenis ruangan. Dengan menggunakan lapisan perforasi dan akustik pada plafon gypsum Jayaakustik, Anda dapat mengurangi gema suara dan meningkatkan pengendalian suara di dalam ruangan secara efektif.   Kini lebih mudah… selengkapnya

Jual Castable Refractory Cor – Tahan Panas Hingga 1800°C Terbaik

Dalam dunia industri, kualitas dan ketahanan bahan sangat penting. Kami Jual Castable Refractory tahan api adalah salah satu solusi yang populer untuk memastikan lapisan pelindung yang kuat dan efisien dalam proses produksi. Terutama untuk pelapis tungku baja yang beroperasi pada suhu tinggi hingga 1600 derajat Celsius. Mari kita bahas lebih detail tentang manfaat dan jenis-jenis… selengkapnya

Soundproof Glasswool Blanket 100% Efektif – Solusi Terbaik untuk Peredam Suara di Rumah dan Kantor!

Soundproof Glasswool Blanket 100% Efektif – Solusi Terbaik untuk Peredam Suara di Rumah dan Kantor! Ciptakan Suasana Tenang dengan Soundproof Glasswool Blanket Apakah Anda sering merasa terganggu dengan kebisingan dari luar? Suara lalu lintas, percakapan, atau aktivitas lainnya bisa mengganggu kenyamanan Anda, baik di rumah maupun di kantor. Di sinilah Soundproof Glasswool Blanket hadir sebagai… selengkapnya

Distributor Castable Tahan Api Suhu Tinggi 1600 Murah

Dalam dunia industri, keandalan dan ketahanan bahan sangatlah penting. Salah satu solusi yang banyak dicari adalah penggunaan Distributor Castable Tahan Api. Bahan ini tidak hanya memberikan perlindungan optimal, tetapi juga memastikan efisiensi dalam proses produksi. Terutama untuk pelapis tungku baja yang beroperasi pada suhu tinggi hingga 1600 derajat Celsius. Mari kita telusuri lebih dalam tentang… selengkapnya

Paling Laris
Jual Yumen 15MM Peredam Akustik Terbaik

Distributor Jual Yumen board yang dapat diandalkan dan terjangkau seperti Global Isolasi Mandiri menawarkan keuntungan tambahan bagi pelanggan mereka. Dengan pemasangan lembaran Rockwool di bagian belakang, kinerja penyerapan yumen board meningkat secara efektif. Jadi, Anda bisa mengandalkan kami untuk menyediakan produk-produk kualitas yang memberikan manfaat besar pada bangunan Anda.   Bagi Anda yang membutuhkan bahan… selengkapnya

Busa Telur Peredam Suara: Solusi No.1 untuk Akustik Ruangan yang Maksimal!

Busa Telur Peredam Suara: Solusi No.1 untuk Akustik Ruangan yang Maksimal! Busa Telur Peredam Suara, alam dunia akustik dan peredaman suara, busa telur menjadi pilihan utama bagi banyak orang yang ingin menciptakan lingkungan dengan kualitas suara terbaik dan minim kebisingan. Dengan desain unik berbentuk gelombang seperti telur, material ini dirancang untuk menyerap suara, mengurangi gema,… selengkapnya

Aluminium Tape Nashua: Pilihan No.1 untuk Perekat Kuat & Tahan Panas!

Aluminium Tape Nashua: Pilihan No.1 untuk Perekat Kuat & Tahan Panas! Aluminium Tape Nashua, Dalam dunia industri, konstruksi, dan perbaikan, pemilihan perekat yang tepat sangat menentukan kualitas hasil akhir. Salah satu produk yang paling diandalkan adalah Aluminium Tape Nashua. Produk ini dikenal karena daya rekatnya yang kuat, ketahanan terhadap suhu ekstrem, serta kemampuannya dalam melindungi… selengkapnya

Yumen Board Soundproof: Solusi Kedap Suara Terbaik untuk Ruangan Senyap 100%!

Yumen Board Soundproof: Solusi Kedap Suara Terbaik untuk Ruangan Senyap 100%! Yumen Board Soundproof, Dalam dunia modern yang penuh dengan kebisingan, menciptakan ruangan yang benar-benar senyap adalah sebuah kebutuhan, bukan lagi sekadar kemewahan. Baik untuk ruang kerja, studio musik, ruang rapat, home theater, hingga kamar tidur, memiliki lingkungan yang bebas gangguan suara dapat meningkatkan kenyamanan,… selengkapnya

Social Media & Marketplace
Chat via Whatsapp

Ada yang ditanyakan?
Klik untuk chat dengan customer support kami

Raisa
● online
Benu
● online
Raisa
● online
Halo, perkenalkan saya Raisa
baru saja
Ada yang bisa saya bantu?
baru saja
Produk Quick Order

Pemesanan dapat langsung menghubungi kontak dibawah:

K 1

Jika kamu sedang mencari K 1, maka anda berada di halaman yang tepat. Kami menyediakan aneka K 1 yang bisa anda pesan online. Silakan hubungi kami via +6282245078486, jangan lupa sertakan juka gambar yang diinginkan.

Kami mengirim paket K 1 melalui berbagai ekspedisi, misalnya JNE, JNT, POS, dll. Kami juga menerima pembayaran via BCA/Mandiri/dll. Pengiriman biasanya tidak sampai seminggu sudah sampai dan kami sertakan pula nomor resi yang bisa digunakan untuk tracking barang secara online.

fans fotos pics

Tidak hanya K 1, anda juga bisa melihat gambar lain seperti Account Number, World Grand Prix, Schedule Definition, Form Template, Ballpoint Kenko, Tax Return Form, Visa Cover Letter, Form 1065, Statement Form, Pulpen Kenko, What is, and Fiance Visa Form.

Berbagai Contoh K 1

Berikut kami sertakan berbagai contoh gambar untuk K 1, silakan save gambar di bawah dengan klik tombol pesan, anda akan kami arahkan pemesanan via WA ke +6282245078486.

768×1024

Order Sekarang

official store 1000×523

official store

Order Sekarang

listen  youtube spotify apple  linktree 1200×630

listen youtube spotify apple linktree

Order Sekarang

create schedule   kx 612×521

create schedule kx

Order Sekarang

rising     world gp   triumphant return   world 900×300

rising world gp triumphant return world

Order Sekarang

officialyoutube channel youtube 900×900

officialyoutube channel youtube

Order Sekarang

uk lyrics songs  albums genius 800×800

uk lyrics songs albums genius

Order Sekarang

wwwforovehiculoscom 960×768

wwwforovehiculoscom

Order Sekarang

book  event 686×686

book event

Order Sekarang

logo png vector ai 600×600

logo png vector ai

Order Sekarang

liquipedia dota  wiki 1500×1000

liquipedia dota wiki

Order Sekarang

projects  racing 1500×937

projects racing

Order Sekarang

logo vector design element  icon monogram  logotype 1000×1000

logo vector design element icon monogram logotype

Order Sekarang

stream    listen  songs albums playlists 500×500

stream listen songs albums playlists

Order Sekarang

kickboxing      exist today muay thai 1200×628

kickboxing exist today muay thai

Order Sekarang

vitamin 1024×1024

vitamin

Order Sekarang

fans fotos pics 1280×1024

fans fotos pics

Order Sekarang

tv series 600×900

tv series

Order Sekarang

solved sigma   infinity kk  series sigma   cheggcom 613×508

solved sigma infinity kk series sigma cheggcom

Order Sekarang

schedule    tax form guide lp equity 800×1057

schedule tax form guide lp equity

Order Sekarang

filek cup darkmodepng liquipedia commons wiki 1667×2007

filek cup darkmodepng liquipedia commons wiki

Order Sekarang

max expands    man    man tournament  kickboxing 1280×720

max expands man man tournament kickboxing

Order Sekarang

ballpoint kenko   gel hitam isi  antero stationery shop 500×500

ballpoint kenko gel hitam isi antero stationery shop

Order Sekarang

legacy    celebrated  posthumous track tomorrow 1200×800

legacy celebrated posthumous track tomorrow

Order Sekarang

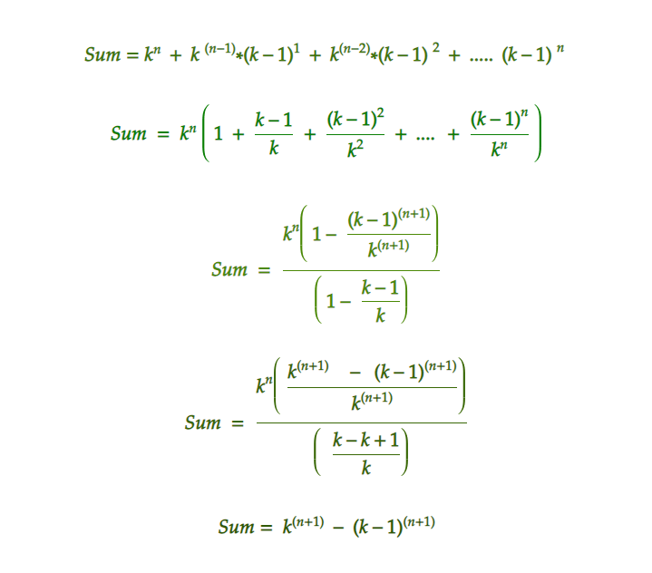
sum   series kn kn    kn 719×632

sum series kn kn kn

Order Sekarang

kvol 452×640

kvol

Order Sekarang

jual kaldness  gram  putih   hitam   mini 1024×1024

jual kaldness gram putih hitam mini

Order Sekarang

schedule   form 1280×720

schedule form

Order Sekarang

kofficialstore instagram linktree 1200×630

kofficialstore instagram linktree

Order Sekarang

spotify 529×640

spotify

Order Sekarang

whats 1024×575

whats

Order Sekarang

taxes  private real estate 800×450

taxes private real estate

Order Sekarang

future    hold    future 1200×418

future hold future

Order Sekarang

Temukan solusi terbaik untuk kenyamanan ruang Anda dengan K 1! Produk peredam suara dan panas ini menawarkan performa maksimal dengan harga yang terjangkau. Dapatkan kualitas unggul tanpa menguras kantong, dan nikmati suasana tenang serta sejuk di setiap sudut rumah atau kantor Anda. Pilih K 1 – pilihan cerdas untuk investasi jangka panjang!