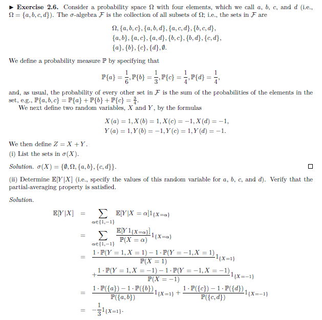
Indicator Function

Jika kamu sedang mencari Indicator Function, maka anda berada di halaman yang tepat. Kami menyediakan aneka Indicator Function yang bisa anda pesan online. Silakan hubungi kami via +6282245078486, jangan lupa sertakan juka gambar yang diinginkan.

Kami mengirim paket Indicator Function melalui berbagai ekspedisi, misalnya JNE, JNT, POS, dll. Kami juga menerima pembayaran via BCA/Mandiri/dll. Pengiriman biasanya tidak sampai seminggu sudah sampai dan kami sertakan pula nomor resi yang bisa digunakan untuk tracking barang secara online.

function   indicator light indicatorlight

Tidak hanya Indicator Function, anda juga bisa melihat gambar lain seperti Lebesgue Integration, Characteristic function, Identity Function, Elliptic Function, Sigma-Algebra, Power Set, LP Space, Concave Function, Measure, Convex Function, Intersection, Probability Mass Function, Time Temperature, Magnetic Field, Candlestick Patterns, Litmus Paper, Electronic Water Level, Map Pin, Red Green, Water Tank Level, Spot PNG, Motorcycle Gear, Fault Light, and Load Cell.

Berbagai Contoh Indicator Function

Berikut kami sertakan berbagai contoh gambar untuk Indicator Function, silakan save gambar di bawah dengan klik tombol pesan, anda akan kami arahkan pemesanan via WA ke +6282245078486.

indicator function alchetron   social encyclopedia 750×476

indicator function alchetron social encyclopedia

Order Sekarang

indicator function templates  google sheets  microsoft excel 1200×2118

indicator function templates google sheets microsoft excel

Order Sekarang

packages indicator function sign tex latex stack exchange 475×246

packages indicator function sign tex latex stack exchange

Order Sekarang

function   indicator light indicatorlight 1920×685

function indicator light indicatorlight

Order Sekarang

indicator function  janice bowen blog 1877×2048

indicator function janice bowen blog

Order Sekarang

statistics indicator function  josephine randle blog 1678×1007

statistics indicator function josephine randle blog

Order Sekarang

indicator function  scientific diagram 402×425

indicator function scientific diagram

Order Sekarang

indicator definition  function  isabella jolly blog 1067×658

indicator definition function isabella jolly blog

Order Sekarang

real analysis  doubt  indicator function mathematics stack 360×372

real analysis doubt indicator function mathematics stack

Order Sekarang

probability question    indicator function mathematics stack 629×626

probability question indicator function mathematics stack

Order Sekarang

indicator function 1280×720

indicator function

Order Sekarang

indicator function     scientific diagram 320×320

indicator function scientific diagram

Order Sekarang

calculus   differentiate  indicator function mathematics 580×293

calculus differentiate indicator function mathematics

Order Sekarang

measurement function   indicator  scientific diagram 850×390

measurement function indicator scientific diagram

Order Sekarang

indicator function  probability expectation relationship 827×466

indicator function probability expectation relationship

Order Sekarang

steps  creating function indicator source  edition 850×462

steps creating function indicator source edition

Order Sekarang

indicator function   event    cheggcom 810×425

indicator function event cheggcom

Order Sekarang

approximation   indicator function   values 850×300

approximation indicator function values

Order Sekarang

indicator 768×1024

indicator

Order Sekarang

indicator function   set    scientific diagram 437×206

indicator function set scientific diagram

Order Sekarang

solved definition   indicator function   set  cheggcom 652×373

solved definition indicator function set cheggcom

Order Sekarang

solved indicator function   set acr   function cheggcom 898×546

solved indicator function set acr function cheggcom

Order Sekarang

solved definition   indicator function   subset cheggcom 1488×1004

solved definition indicator function subset cheggcom

Order Sekarang

indicator functions 311×102

indicator functions

Order Sekarang

comparisons   approximations   indicator function 850×1220

comparisons approximations indicator function

Order Sekarang

profiles   variation   indicator function 850×321

profiles variation indicator function

Order Sekarang

Temukan solusi terbaik untuk kenyamanan ruang Anda dengan Indicator Function! Produk peredam suara dan panas ini menawarkan performa maksimal dengan harga yang terjangkau. Dapatkan kualitas unggul tanpa menguras kantong, dan nikmati suasana tenang serta sejuk di setiap sudut rumah atau kantor Anda. Pilih Indicator Function – pilihan cerdas untuk investasi jangka panjang!

Tidak ada hasil untuk penelusuran kata kunci Indicator Function

NO RESULT FOUND

Maaf, tidak ada yang cocok dengan kriteria yang Anda cari.

Apa yang ingin Anda lakukan?
« kembali ke Beranda atau gunakan kotak pencarian dibawah ini untuk mulai penelusuran baru.

Social Media & Marketplace
Chat via Whatsapp

Ada yang ditanyakan?
Klik untuk chat dengan customer support kami

Raisa
● online
Benu
● online
Raisa
● online
Halo, perkenalkan saya Raisa
baru saja
Ada yang bisa saya bantu?
baru saja
Produk Quick Order

Pemesanan dapat langsung menghubungi kontak dibawah:

Indicator Function

Jika kamu sedang mencari Indicator Function, maka anda berada di halaman yang tepat. Kami menyediakan aneka Indicator Function yang bisa anda pesan online. Silakan hubungi kami via +6282245078486, jangan lupa sertakan juka gambar yang diinginkan.

Kami mengirim paket Indicator Function melalui berbagai ekspedisi, misalnya JNE, JNT, POS, dll. Kami juga menerima pembayaran via BCA/Mandiri/dll. Pengiriman biasanya tidak sampai seminggu sudah sampai dan kami sertakan pula nomor resi yang bisa digunakan untuk tracking barang secara online.

measurement function   indicator  scientific diagram

Tidak hanya Indicator Function, anda juga bisa melihat gambar lain seperti Lebesgue Integration, Characteristic function, Identity Function, Elliptic Function, Sigma-Algebra, Power Set, LP Space, Concave Function, Measure, Convex Function, Intersection, Probability Mass Function, Time Temperature, Magnetic Field, Candlestick Patterns, Litmus Paper, Electronic Water Level, Map Pin, Red Green, Water Tank Level, Spot PNG, Motorcycle Gear, Fault Light, and Load Cell.

Berbagai Contoh Indicator Function

Berikut kami sertakan berbagai contoh gambar untuk Indicator Function, silakan save gambar di bawah dengan klik tombol pesan, anda akan kami arahkan pemesanan via WA ke +6282245078486.

indicator function alchetron   social encyclopedia 750×476

indicator function alchetron social encyclopedia

Order Sekarang

indicator function templates  google sheets  microsoft excel 1200×2118

indicator function templates google sheets microsoft excel

Order Sekarang

packages indicator function sign tex latex stack exchange 475×246

packages indicator function sign tex latex stack exchange

Order Sekarang

function   indicator light indicatorlight 1920×685

function indicator light indicatorlight

Order Sekarang

indicator function  janice bowen blog 1877×2048

indicator function janice bowen blog

Order Sekarang

statistics indicator function  josephine randle blog 1678×1007

statistics indicator function josephine randle blog

Order Sekarang

indicator function  scientific diagram 402×425

indicator function scientific diagram

Order Sekarang

indicator definition  function  isabella jolly blog 1067×658

indicator definition function isabella jolly blog

Order Sekarang

real analysis  doubt  indicator function mathematics stack 360×372

real analysis doubt indicator function mathematics stack

Order Sekarang

probability question    indicator function mathematics stack 629×626

probability question indicator function mathematics stack

Order Sekarang

indicator function 1280×720

indicator function

Order Sekarang

indicator function     scientific diagram 320×320

indicator function scientific diagram

Order Sekarang

calculus   differentiate  indicator function mathematics 580×293

calculus differentiate indicator function mathematics

Order Sekarang

measurement function   indicator  scientific diagram 850×390

measurement function indicator scientific diagram

Order Sekarang

indicator function  probability expectation relationship 827×466

indicator function probability expectation relationship

Order Sekarang

steps  creating function indicator source  edition 850×462

steps creating function indicator source edition

Order Sekarang

indicator function   event    cheggcom 810×425

indicator function event cheggcom

Order Sekarang

approximation   indicator function   values 850×300

approximation indicator function values

Order Sekarang

indicator 768×1024

indicator

Order Sekarang

indicator function   set    scientific diagram 437×206

indicator function set scientific diagram

Order Sekarang

solved definition   indicator function   set  cheggcom 652×373

solved definition indicator function set cheggcom

Order Sekarang

solved indicator function   set acr   function cheggcom 898×546

solved indicator function set acr function cheggcom

Order Sekarang

solved definition   indicator function   subset cheggcom 1488×1004

solved definition indicator function subset cheggcom

Order Sekarang

indicator functions 311×102

indicator functions

Order Sekarang

comparisons   approximations   indicator function 850×1220

comparisons approximations indicator function

Order Sekarang

profiles   variation   indicator function 850×321

profiles variation indicator function

Order Sekarang

Temukan solusi terbaik untuk kenyamanan ruang Anda dengan Indicator Function! Produk peredam suara dan panas ini menawarkan performa maksimal dengan harga yang terjangkau. Dapatkan kualitas unggul tanpa menguras kantong, dan nikmati suasana tenang serta sejuk di setiap sudut rumah atau kantor Anda. Pilih Indicator Function – pilihan cerdas untuk investasi jangka panjang!