Huffman Coding Time

Jika kamu sedang mencari Huffman Coding Time, maka anda berada di halaman yang tepat. Kami menyediakan aneka Huffman Coding Time yang bisa anda pesan online. Silakan hubungi kami via +6282245078486, jangan lupa sertakan juka gambar yang diinginkan.

Kami mengirim paket Huffman Coding Time melalui berbagai ekspedisi, misalnya JNE, JNT, POS, dll. Kami juga menerima pembayaran via BCA/Mandiri/dll. Pengiriman biasanya tidak sampai seminggu sudah sampai dan kami sertakan pula nomor resi yang bisa digunakan untuk tracking barang secara online.

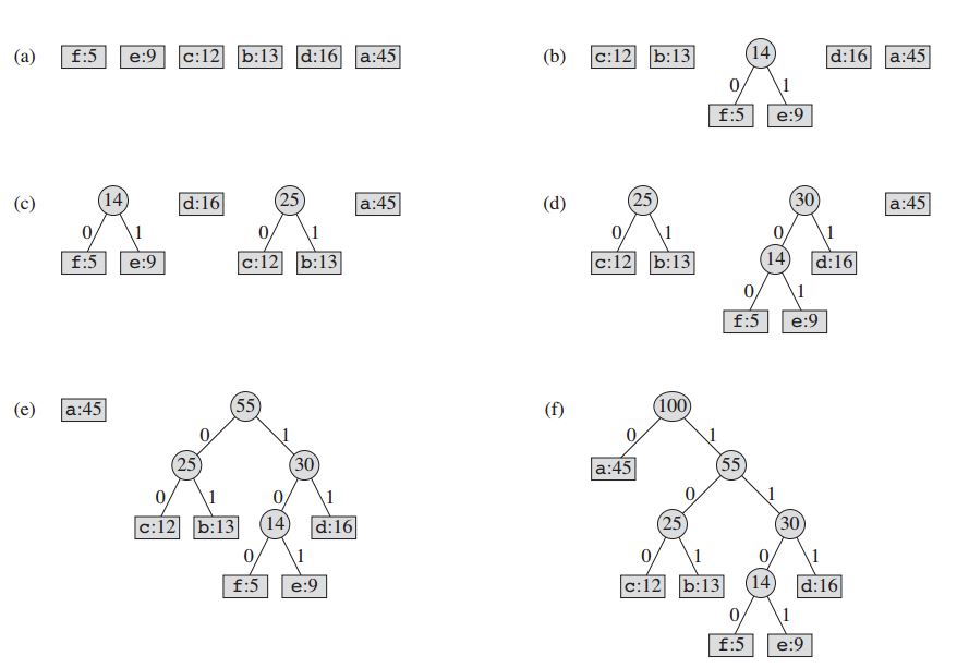
steps  perform huffman coding

Tidak hanya Huffman Coding Time, anda juga bisa melihat gambar lain seperti FlowChart, Digital Processing, Tree Diagram, Small Example, Audio Compression, Root Node, Greedy Algorithm, Compression Ratio Formula, Binary Code, Binary Tree, Ada Subject, Assignment Reddit, Example Hello, Practice Problems, Feature, Geeks, Dynamic, Drawbacks, Networking, Animation, and Algorithm Meme.

Berbagai Contoh Huffman Coding Time

Berikut kami sertakan berbagai contoh gambar untuk Huffman Coding Time, silakan save gambar di bawah dengan klik tombol pesan, anda akan kami arahkan pemesanan via WA ke +6282245078486.

huffman coding 768×1024

huffman coding

Order Sekarang

huffman coding  mathematical logic mathematical concepts 768×1024

huffman coding mathematical logic mathematical concepts

Order Sekarang

huffman coding  data compression teaching methods materials 768×1024

huffman coding data compression teaching methods materials

Order Sekarang

chapter  huffman coding  code data compression 768×1024

chapter huffman coding code data compression

Order Sekarang

huffmann coding 768×1024

huffmann coding

Order Sekarang

huffman coding huffman coding  time complexity gate vidyalay 482×983

huffman coding huffman coding time complexity gate vidyalay

Order Sekarang

huffman coding wikipedia 1200×772

huffman coding wikipedia

Order Sekarang

huffman coding scaler topics 3400×2608

huffman coding scaler topics

Order Sekarang

huffman coding powerpoint    id 1024×768

huffman coding powerpoint id

Order Sekarang

algorithm tutorial huffman coding 889×613

algorithm tutorial huffman coding

Order Sekarang

modified huffman coding semantic scholar 736×676

modified huffman coding semantic scholar

Order Sekarang

huffman coding pptx 2048×1536

huffman coding pptx

Order Sekarang

huffman coding algorithm efficient data compression computer geek 1662×427

huffman coding algorithm efficient data compression computer geek

Order Sekarang

algodaily huffman coding algorithm  data compression 779×1277

algodaily huffman coding algorithm data compression

Order Sekarang

huffman coding  decoding algorithm 1000×839

huffman coding decoding algorithm

Order Sekarang

steps  perform huffman coding 474×266

steps perform huffman coding

Order Sekarang

introduction  huffman coding shiksha 1023×537

introduction huffman coding shiksha

Order Sekarang

huffman coding algorithm  pptx 320×180

huffman coding algorithm pptx

Order Sekarang

advantages  disadvantages  huffman coding 507×461

advantages disadvantages huffman coding

Order Sekarang

huffmancodingppt 638×478

huffmancodingppt

Order Sekarang

process  huffman coding  scientific diagram 850×265

process huffman coding scientific diagram

Order Sekarang

Temukan solusi terbaik untuk kenyamanan ruang Anda dengan Huffman Coding Time! Produk peredam suara dan panas ini menawarkan performa maksimal dengan harga yang terjangkau. Dapatkan kualitas unggul tanpa menguras kantong, dan nikmati suasana tenang serta sejuk di setiap sudut rumah atau kantor Anda. Pilih Huffman Coding Time – pilihan cerdas untuk investasi jangka panjang!

Tidak ada hasil untuk penelusuran kata kunci Huffman Coding Time

NO RESULT FOUND

Maaf, tidak ada yang cocok dengan kriteria yang Anda cari.

Apa yang ingin Anda lakukan?
« kembali ke Beranda atau gunakan kotak pencarian dibawah ini untuk mulai penelusuran baru.

Social Media & Marketplace
Chat via Whatsapp

Ada yang ditanyakan?
Klik untuk chat dengan customer support kami

Raisa
● online
Benu
● online
Raisa
● online
Halo, perkenalkan saya Raisa
baru saja
Ada yang bisa saya bantu?
baru saja
Produk Quick Order

Pemesanan dapat langsung menghubungi kontak dibawah:

Huffman Coding Time

Jika kamu sedang mencari Huffman Coding Time, maka anda berada di halaman yang tepat. Kami menyediakan aneka Huffman Coding Time yang bisa anda pesan online. Silakan hubungi kami via +6282245078486, jangan lupa sertakan juka gambar yang diinginkan.

Kami mengirim paket Huffman Coding Time melalui berbagai ekspedisi, misalnya JNE, JNT, POS, dll. Kami juga menerima pembayaran via BCA/Mandiri/dll. Pengiriman biasanya tidak sampai seminggu sudah sampai dan kami sertakan pula nomor resi yang bisa digunakan untuk tracking barang secara online.

huffmancodingppt

Tidak hanya Huffman Coding Time, anda juga bisa melihat gambar lain seperti FlowChart, Compression Ratio Formula, Binary Code, Root Node, Greedy Algorithm, Digital Processing, Binary Tree, Time Complexity, No Priority, Frequency Data, Assignment Reddit, Example Hello, Practice Problems, Feature, Geeks, Dynamic, Drawbacks, Networking, Animation, Algorithm Meme, and Graphics.

Berbagai Contoh Huffman Coding Time

Berikut kami sertakan berbagai contoh gambar untuk Huffman Coding Time, silakan save gambar di bawah dengan klik tombol pesan, anda akan kami arahkan pemesanan via WA ke +6282245078486.

huffman coding 768×1024

huffman coding

Order Sekarang

huffman coding  mathematical logic mathematical concepts 768×1024

huffman coding mathematical logic mathematical concepts

Order Sekarang

huffman coding  data compression teaching methods materials 768×1024

huffman coding data compression teaching methods materials

Order Sekarang

chapter  huffman coding  code data compression 768×1024

chapter huffman coding code data compression

Order Sekarang

huffmann coding 768×1024

huffmann coding

Order Sekarang

huffman coding huffman coding  time complexity gate vidyalay 482×983

huffman coding huffman coding time complexity gate vidyalay

Order Sekarang

huffman coding wikipedia 1200×772

huffman coding wikipedia

Order Sekarang

huffman coding scaler topics 3400×2608

huffman coding scaler topics

Order Sekarang

huffman coding powerpoint    id 1024×768

huffman coding powerpoint id

Order Sekarang

algorithm tutorial huffman coding 889×613

algorithm tutorial huffman coding

Order Sekarang

modified huffman coding semantic scholar 736×676

modified huffman coding semantic scholar

Order Sekarang

huffman coding pptx 2048×1536

huffman coding pptx

Order Sekarang

huffman coding algorithm efficient data compression computer geek 1662×427

huffman coding algorithm efficient data compression computer geek

Order Sekarang

algodaily huffman coding algorithm  data compression 779×1277

algodaily huffman coding algorithm data compression

Order Sekarang

huffman coding  decoding algorithm 1000×839

huffman coding decoding algorithm

Order Sekarang

steps  perform huffman coding 474×266

steps perform huffman coding

Order Sekarang

introduction  huffman coding shiksha 1023×537

introduction huffman coding shiksha

Order Sekarang

huffman coding algorithm  pptx 320×180

huffman coding algorithm pptx

Order Sekarang

advantages  disadvantages  huffman coding 507×461

advantages disadvantages huffman coding

Order Sekarang

huffmancodingppt 638×478

huffmancodingppt

Order Sekarang

process  huffman coding  scientific diagram 850×265

process huffman coding scientific diagram

Order Sekarang

Temukan solusi terbaik untuk kenyamanan ruang Anda dengan Huffman Coding Time! Produk peredam suara dan panas ini menawarkan performa maksimal dengan harga yang terjangkau. Dapatkan kualitas unggul tanpa menguras kantong, dan nikmati suasana tenang serta sejuk di setiap sudut rumah atau kantor Anda. Pilih Huffman Coding Time – pilihan cerdas untuk investasi jangka panjang!