Flow Binary

Jika kamu sedang mencari Flow Binary, maka anda berada di halaman yang tepat. Kami menyediakan aneka Flow Binary yang bisa anda pesan online. Silakan hubungi kami via +6282245078486, jangan lupa sertakan juka gambar yang diinginkan.

Kami mengirim paket Flow Binary melalui berbagai ekspedisi, misalnya JNE, JNT, POS, dll. Kami juga menerima pembayaran via BCA/Mandiri/dll. Pengiriman biasanya tidak sampai seminggu sudah sampai dan kami sertakan pula nomor resi yang bisa digunakan untuk tracking barang secara online.

binary data flow stock photo  cmmaxer

Tidak hanya Flow Binary, anda juga bisa melihat gambar lain seperti Base 2 Chart, Number Line, Numbers Wallpaper, Alphabet Chart, Code Clip Art, Alphabet Code Sheet, Code Drawing, Code Desktop Background, Wallpaper 4K, Computer Chip, Square Table, Place Value Chart, Cloud Wallpaper, Matrix Table, No Background, Hex Wallpaper, Pixel Art, Green Black, Bit Diagram, Or Symbol, Chain Jpg, and Tree Data Structure.

Berbagai Contoh Flow Binary

Berikut kami sertakan berbagai contoh gambar untuk Flow Binary, silakan save gambar di bawah dengan klik tombol pesan, anda akan kami arahkan pemesanan via WA ke +6282245078486.

binary flow gina deluca 2206×1691

binary flow gina deluca

Order Sekarang

binary data flow stock illustration adobe stock 1000×760

binary data flow stock illustration adobe stock

Order Sekarang

binary data flow loop stock footage video  royalty 0 x 0

binary data flow loop stock footage video royalty

Order Sekarang

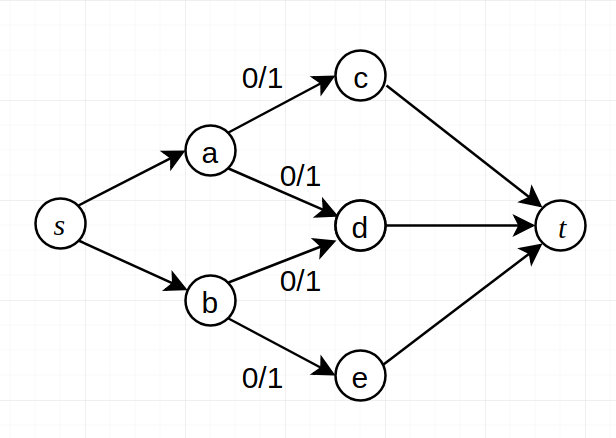
binary flow  max flow problem computer science stack exchange 616×438

binary flow max flow problem computer science stack exchange

Order Sekarang

binary data flow stock photo  mmaxer 1024×768

binary data flow stock photo mmaxer

Order Sekarang

binary data flow stock illustration illustration  orbiting 1600×990

binary data flow stock illustration illustration orbiting

Order Sekarang

binary flow stock illustration illustration  code globe 768×512

binary flow stock illustration illustration code globe

Order Sekarang

binary data flow stock illustration illustration  black 1600×990

binary data flow stock illustration illustration black

Order Sekarang

premium vector binary code flow 626×372

premium vector binary code flow

Order Sekarang

photo binary flow background 626×572

photo binary flow background

Order Sekarang

binary flow  windows mac linux game indiedb 660×660

binary flow windows mac linux game indiedb

Order Sekarang

premium photo flow  binary data 626×352

premium photo flow binary data

Order Sekarang

binary flow  world map sponsored paid sponsored binary 735×501

binary flow world map sponsored paid sponsored binary

Order Sekarang

binary code flow royalty  vector image vectorstock 1000×780

binary code flow royalty vector image vectorstock

Order Sekarang

binary data flow stock illustration illustration  development 1600×1306

binary data flow stock illustration illustration development

Order Sekarang

flow  binary data stock photo alamy 1300×821

flow binary data stock photo alamy

Order Sekarang

binary data flow stock illustration illustration  code 1600×1157

binary data flow stock illustration illustration code

Order Sekarang

binary stream flow  information stock photo cartoondealercom 1600×1290

binary stream flow information stock photo cartoondealercom

Order Sekarang

binary stream flow information stock illustration  shutterstock 600×470

binary stream flow information stock illustration shutterstock

Order Sekarang

binary data flow stock  footage hd   video clips alamy 1000×653

binary data flow stock footage hd video clips alamy

Order Sekarang

flow data network binary system ai generated image stock illustration 768×336

flow data network binary system ai generated image stock illustration

Order Sekarang

binary code data flow stock illustration illustration  curve 1600×1290

binary code data flow stock illustration illustration curve

Order Sekarang

binary data flow stock photo  cmmaxer 1024×768

binary data flow stock photo cmmaxer

Order Sekarang

binary code data flow communication stock photo alamy 1300×1034

binary code data flow communication stock photo alamy

Order Sekarang

flow chart  proposed binary classifier  scientific diagram 320×320

flow chart proposed binary classifier scientific diagram

Order Sekarang

binary data flow stock illustrations  binary data flow stock 768×512

binary data flow stock illustrations binary data flow stock

Order Sekarang

computer binary data flow graph stock illustration illustration 1600×1157

computer binary data flow graph stock illustration illustration

Order Sekarang

binary flow royalty  stock images image 400×273

binary flow royalty stock images image

Order Sekarang

data flow binary data flow tunnel stock vector royalty 1500×955

data flow binary data flow tunnel stock vector royalty

Order Sekarang

binary flow  stock photo public domain pictures 1920×1412

binary flow stock photo public domain pictures

Order Sekarang

binary code data flow stock photo  cartida 600×450

binary code data flow stock photo cartida

Order Sekarang

data flow binary data flow tunnel virtual tunnel warp coding 1920×1095

data flow binary data flow tunnel virtual tunnel warp coding

Order Sekarang

binary data flow stock illustration illustration  binary 992×662

binary data flow stock illustration illustration binary

Order Sekarang

Temukan solusi terbaik untuk kenyamanan ruang Anda dengan Flow Binary! Produk peredam suara dan panas ini menawarkan performa maksimal dengan harga yang terjangkau. Dapatkan kualitas unggul tanpa menguras kantong, dan nikmati suasana tenang serta sejuk di setiap sudut rumah atau kantor Anda. Pilih Flow Binary – pilihan cerdas untuk investasi jangka panjang!

Tidak ada hasil untuk penelusuran kata kunci Flow Binary

NO RESULT FOUND

Maaf, tidak ada yang cocok dengan kriteria yang Anda cari.

Apa yang ingin Anda lakukan?
« kembali ke Beranda atau gunakan kotak pencarian dibawah ini untuk mulai penelusuran baru.

Social Media & Marketplace
Chat via Whatsapp

Ada yang ditanyakan?
Klik untuk chat dengan customer support kami

Raisa
● online
Benu
● online
Raisa
● online
Halo, perkenalkan saya Raisa
baru saja
Ada yang bisa saya bantu?
baru saja
Produk Quick Order

Pemesanan dapat langsung menghubungi kontak dibawah:

Flow Binary

Jika kamu sedang mencari Flow Binary, maka anda berada di halaman yang tepat. Kami menyediakan aneka Flow Binary yang bisa anda pesan online. Silakan hubungi kami via +6282245078486, jangan lupa sertakan juka gambar yang diinginkan.

Kami mengirim paket Flow Binary melalui berbagai ekspedisi, misalnya JNE, JNT, POS, dll. Kami juga menerima pembayaran via BCA/Mandiri/dll. Pengiriman biasanya tidak sampai seminggu sudah sampai dan kami sertakan pula nomor resi yang bisa digunakan untuk tracking barang secara online.

binary flow royalty  stock images image

Tidak hanya Flow Binary, anda juga bisa melihat gambar lain seperti Base 2 Chart, Number Line, Numbers Wallpaper, Alphabet Chart, Code Clip Art, Alphabet Code Sheet, Code Drawing, Code Desktop Background, Wallpaper 4K, Computer Chip, Square Table, Place Value Chart, Cloud Wallpaper, Matrix Table, No Background, Hex Wallpaper, Pixel Art, Green Black, Bit Diagram, Or Symbol, Chain Jpg, and Tree Data Structure.

Berbagai Contoh Flow Binary

Berikut kami sertakan berbagai contoh gambar untuk Flow Binary, silakan save gambar di bawah dengan klik tombol pesan, anda akan kami arahkan pemesanan via WA ke +6282245078486.

binary flow gina deluca 2206×1691

binary flow gina deluca

Order Sekarang

binary data flow stock illustration adobe stock 1000×760

binary data flow stock illustration adobe stock

Order Sekarang

binary data flow loop stock footage video  royalty 0 x 0

binary data flow loop stock footage video royalty

Order Sekarang

binary flow  max flow problem computer science stack exchange 616×438

binary flow max flow problem computer science stack exchange

Order Sekarang

binary data flow stock photo  mmaxer 1024×768

binary data flow stock photo mmaxer

Order Sekarang

binary data flow stock illustration illustration  orbiting 1600×990

binary data flow stock illustration illustration orbiting

Order Sekarang

binary flow stock illustration illustration  code globe 768×512

binary flow stock illustration illustration code globe

Order Sekarang

binary data flow stock illustration illustration  black 1600×990

binary data flow stock illustration illustration black

Order Sekarang

premium vector binary code flow 626×372

premium vector binary code flow

Order Sekarang

photo binary flow background 626×572

photo binary flow background

Order Sekarang

binary flow  windows mac linux game indiedb 660×660

binary flow windows mac linux game indiedb

Order Sekarang

premium photo flow  binary data 626×352

premium photo flow binary data

Order Sekarang

binary flow  world map sponsored paid sponsored binary 735×501

binary flow world map sponsored paid sponsored binary

Order Sekarang

binary code flow royalty  vector image vectorstock 1000×780

binary code flow royalty vector image vectorstock

Order Sekarang

binary data flow stock illustration illustration  development 1600×1306

binary data flow stock illustration illustration development

Order Sekarang

flow  binary data stock photo alamy 1300×821

flow binary data stock photo alamy

Order Sekarang

binary data flow stock illustration illustration  code 1600×1157

binary data flow stock illustration illustration code

Order Sekarang

binary stream flow  information stock photo cartoondealercom 1600×1290

binary stream flow information stock photo cartoondealercom

Order Sekarang

binary stream flow information stock illustration  shutterstock 600×470

binary stream flow information stock illustration shutterstock

Order Sekarang

binary data flow stock  footage hd   video clips alamy 1000×653

binary data flow stock footage hd video clips alamy

Order Sekarang

flow data network binary system ai generated image stock illustration 768×336

flow data network binary system ai generated image stock illustration

Order Sekarang

binary code data flow stock illustration illustration  curve 1600×1290

binary code data flow stock illustration illustration curve

Order Sekarang

binary data flow stock photo  cmmaxer 1024×768

binary data flow stock photo cmmaxer

Order Sekarang

binary code data flow communication stock photo alamy 1300×1034

binary code data flow communication stock photo alamy

Order Sekarang

flow chart  proposed binary classifier  scientific diagram 320×320

flow chart proposed binary classifier scientific diagram

Order Sekarang

binary data flow stock illustrations  binary data flow stock 768×512

binary data flow stock illustrations binary data flow stock

Order Sekarang

computer binary data flow graph stock illustration illustration 1600×1157

computer binary data flow graph stock illustration illustration

Order Sekarang

binary flow royalty  stock images image 400×273

binary flow royalty stock images image

Order Sekarang

data flow binary data flow tunnel stock vector royalty 1500×955

data flow binary data flow tunnel stock vector royalty

Order Sekarang

binary flow  stock photo public domain pictures 1920×1412

binary flow stock photo public domain pictures

Order Sekarang

binary code data flow stock photo  cartida 600×450

binary code data flow stock photo cartida

Order Sekarang

data flow binary data flow tunnel virtual tunnel warp coding 1920×1095

data flow binary data flow tunnel virtual tunnel warp coding

Order Sekarang

binary data flow stock illustration illustration  binary 992×662

binary data flow stock illustration illustration binary

Order Sekarang

Temukan solusi terbaik untuk kenyamanan ruang Anda dengan Flow Binary! Produk peredam suara dan panas ini menawarkan performa maksimal dengan harga yang terjangkau. Dapatkan kualitas unggul tanpa menguras kantong, dan nikmati suasana tenang serta sejuk di setiap sudut rumah atau kantor Anda. Pilih Flow Binary – pilihan cerdas untuk investasi jangka panjang!