Example Installment

Jika kamu sedang mencari Example Installment, maka anda berada di halaman yang tepat. Kami menyediakan aneka Example Installment yang bisa anda pesan online. Silakan hubungi kami via +6282245078486, jangan lupa sertakan juka gambar yang diinginkan.

Kami mengirim paket Example Installment melalui berbagai ekspedisi, misalnya JNE, JNT, POS, dll. Kami juga menerima pembayaran via BCA/Mandiri/dll. Pengiriman biasanya tidak sampai seminggu sudah sampai dan kami sertakan pula nomor resi yang bisa digunakan untuk tracking barang secara online.

installment     sentences englishteststore blog

Tidak hanya Example Installment, anda juga bisa melihat gambar lain seperti Loan Definition, Plan Template, Credit Meaning, Payment Icon, Logo Design, Loan Drawing, Plan Example, iPhone 11 Pro Max, Loan Payment, Clip Art, Plan Graphic, Payday Loans Online, Proposal Sample, Plan Art, Credit Definition, Payment Plan Template, 0, Buying, and Sales Method.

Berbagai Contoh Example Installment

Berikut kami sertakan berbagai contoh gambar untuk Example Installment, silakan save gambar di bawah dengan klik tombol pesan, anda akan kami arahkan pemesanan via WA ke +6282245078486.

editable installment agreement templates  word 880×570

editable installment agreement templates word

Order Sekarang

installment agreement templates editable  printable 880×570

installment agreement templates editable printable

Order Sekarang

interest  installment wordpandit 506×228

interest installment wordpandit

Order Sekarang

installment templates  google sheets  microsoft excel 947×1399

installment templates google sheets microsoft excel

Order Sekarang

whats installment payment 2048×1152

whats installment payment

Order Sekarang

installment payment agreement template 1275×1650

installment payment agreement template

Order Sekarang

installment plan stock  images  backgrounds 600×400

installment plan stock images backgrounds

Order Sekarang

installment plan   powerpoint  google  cpb 1280×720

installment plan powerpoint google cpb

Order Sekarang

installment payments 600×686

installment payments

Order Sekarang

installment calculation templates  google sheets  microsoft 1200×760

installment calculation templates google sheets microsoft

Order Sekarang

installment method  accounting rightrev 1200×627

installment method accounting rightrev

Order Sekarang

installment plans 943×867

installment plans

Order Sekarang

installment payment agreement template google docs word apple pages 880×1140

installment payment agreement template google docs word apple pages

Order Sekarang

installment examples dokumentips 768×1024

installment examples dokumentips

Order Sekarang

installment payment   sentence examples  ways   installment 930×620

installment payment sentence examples ways installment

Order Sekarang

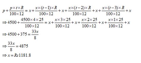
installment     sentences englishteststore blog 595×420

installment sentences englishteststore blog

Order Sekarang

installment invoice template 973×1032

installment invoice template

Order Sekarang

simple installment plan template  edit 1200×1696

simple installment plan template edit

Order Sekarang

pay  installment 399×306

pay installment

Order Sekarang

installment contract template 580×582

installment contract template

Order Sekarang

installment payment types 1024×536

installment payment types

Order Sekarang

installment payment agreement letter template edit 1200×1701

installment payment agreement letter template edit

Order Sekarang

installment payment agreement 453×640

installment payment agreement

Order Sekarang

installment agreement sample forms   ms word 600×730

installment agreement sample forms ms word

Order Sekarang

installment payment agreement template edit 1200×1700

installment payment agreement template edit

Order Sekarang

installment payment plan template 600×730

installment payment plan template

Order Sekarang

installment payment plan template  edit 1200×1700

installment payment plan template edit

Order Sekarang

Temukan solusi terbaik untuk kenyamanan ruang Anda dengan Example Installment! Produk peredam suara dan panas ini menawarkan performa maksimal dengan harga yang terjangkau. Dapatkan kualitas unggul tanpa menguras kantong, dan nikmati suasana tenang serta sejuk di setiap sudut rumah atau kantor Anda. Pilih Example Installment – pilihan cerdas untuk investasi jangka panjang!

Tidak ada hasil untuk penelusuran kata kunci Example Installment

NO RESULT FOUND

Maaf, tidak ada yang cocok dengan kriteria yang Anda cari.

Apa yang ingin Anda lakukan?
« kembali ke Beranda atau gunakan kotak pencarian dibawah ini untuk mulai penelusuran baru.

Social Media & Marketplace
Chat via Whatsapp

Ada yang ditanyakan?
Klik untuk chat dengan customer support kami

Raisa
● online
Benu
● online
Raisa
● online
Halo, perkenalkan saya Raisa
baru saja
Ada yang bisa saya bantu?
baru saja
Produk Quick Order

Pemesanan dapat langsung menghubungi kontak dibawah:

Example Installment

Jika kamu sedang mencari Example Installment, maka anda berada di halaman yang tepat. Kami menyediakan aneka Example Installment yang bisa anda pesan online. Silakan hubungi kami via +6282245078486, jangan lupa sertakan juka gambar yang diinginkan.

Kami mengirim paket Example Installment melalui berbagai ekspedisi, misalnya JNE, JNT, POS, dll. Kami juga menerima pembayaran via BCA/Mandiri/dll. Pengiriman biasanya tidak sampai seminggu sudah sampai dan kami sertakan pula nomor resi yang bisa digunakan untuk tracking barang secara online.

installment payment agreement template edit

Tidak hanya Example Installment, anda juga bisa melihat gambar lain seperti Loan Definition, Plan Template, Credit Meaning, Payment Icon, Logo Design, Loan Drawing, Plan Example, iPhone 11 Pro Max, Loan Payment, Clip Art, Plan Graphic, Payday Loans Online, Proposal Sample, Plan Art, Credit Definition, Payment Plan Template, 0, Buying, and Sales Method.

Berbagai Contoh Example Installment

Berikut kami sertakan berbagai contoh gambar untuk Example Installment, silakan save gambar di bawah dengan klik tombol pesan, anda akan kami arahkan pemesanan via WA ke +6282245078486.

editable installment agreement templates  word 880×570

editable installment agreement templates word

Order Sekarang

installment agreement templates editable  printable 880×570

installment agreement templates editable printable

Order Sekarang

interest  installment wordpandit 506×228

interest installment wordpandit

Order Sekarang

installment templates  google sheets  microsoft excel 947×1399

installment templates google sheets microsoft excel

Order Sekarang

whats installment payment 2048×1152

whats installment payment

Order Sekarang

installment payment agreement template 1275×1650

installment payment agreement template

Order Sekarang

installment plan stock  images  backgrounds 600×400

installment plan stock images backgrounds

Order Sekarang

installment plan   powerpoint  google  cpb 1280×720

installment plan powerpoint google cpb

Order Sekarang

installment payments 600×686

installment payments

Order Sekarang

installment calculation templates  google sheets  microsoft 1200×760

installment calculation templates google sheets microsoft

Order Sekarang

installment method  accounting rightrev 1200×627

installment method accounting rightrev

Order Sekarang

installment plans 943×867

installment plans

Order Sekarang

installment payment agreement template google docs word apple pages 880×1140

installment payment agreement template google docs word apple pages

Order Sekarang

installment examples dokumentips 768×1024

installment examples dokumentips

Order Sekarang

installment payment   sentence examples  ways   installment 930×620

installment payment sentence examples ways installment

Order Sekarang

installment     sentences englishteststore blog 595×420

installment sentences englishteststore blog

Order Sekarang

installment invoice template 973×1032

installment invoice template

Order Sekarang

simple installment plan template  edit 1200×1696

simple installment plan template edit

Order Sekarang

pay  installment 399×306

pay installment

Order Sekarang

installment contract template 580×582

installment contract template

Order Sekarang

installment payment types 1024×536

installment payment types

Order Sekarang

installment payment agreement letter template edit 1200×1701

installment payment agreement letter template edit

Order Sekarang

installment payment agreement 453×640

installment payment agreement

Order Sekarang

installment agreement sample forms   ms word 600×730

installment agreement sample forms ms word

Order Sekarang

installment payment agreement template edit 1200×1700

installment payment agreement template edit

Order Sekarang

installment payment plan template 600×730

installment payment plan template

Order Sekarang

installment payment plan template  edit 1200×1700

installment payment plan template edit

Order Sekarang

Temukan solusi terbaik untuk kenyamanan ruang Anda dengan Example Installment! Produk peredam suara dan panas ini menawarkan performa maksimal dengan harga yang terjangkau. Dapatkan kualitas unggul tanpa menguras kantong, dan nikmati suasana tenang serta sejuk di setiap sudut rumah atau kantor Anda. Pilih Example Installment – pilihan cerdas untuk investasi jangka panjang!