Hasil Penelusuran

45 hasil penelusuran untuk kata kunci: Esi Form

*Hasil penelusuran dapat berupa postingan produk, artikel blog & halaman.

7 Kelebihan Metalizing Tape MM 2025 – Solusi Perekat Tahan Panas & Anti Retak untuk Proyek HVAC Profesional!

7 Kelebihan Metalizing Tape MM 2025 – Solusi Perekat Tahan Panas & Anti Retak untuk Proyek HVAC Profesional! Metalizing Tape MM, Dalam dunia instalasi insulasi, HVAC, dan pelapisan thermal, pemilihan perekat tidak bisa dilakukan sembarangan. Anda butuh perekat berkualitas tinggi yang bukan hanya kuat, tapi juga tahan panas, fleksibel, dan memiliki adhesi maksimal. Inilah mengapa… selengkapnya

7 Kelebihan Aluminium Tape Nashua 2025 – Perekat Foil Super Kuat & Tahan Panas untuk Insulasi Profesional!

7 Kelebihan Aluminium Tape Nashua 2025 – Perekat Foil Super Kuat & Tahan Panas untuk Insulasi Profesional! Aluminium Tape Nashua, Dalam dunia konstruksi modern, pemasangan bahan insulasi tidak hanya bergantung pada kualitas material utama seperti aluminium foil, glasswool, atau bubble foil. Salah satu komponen krusial yang menentukan efektivitas dan daya tahan insulasi adalah perekat atau… selengkapnya

5 Kelebihan Busa Piramid Soundproof 2025 – Peredam Gema Kuat dengan Tampilan Stylish & Profesional!

5 Kelebihan Busa Piramid Soundproof 2025 – Peredam Gema Kuat dengan Tampilan Stylish & Profesional! Busa Piramid Soundproof, Untuk Anda yang serius ingin menciptakan ruangan dengan kualitas akustik terbaik, baik itu studio rekaman, home theater, ruang podcast, ruang meeting, hingga kamar pribadi—busa piramid Soundproof adalah jawaban yang tepat. Dirancang dengan bentuk permukaan seperti piramida, panel… selengkapnya

Edisi Terbatas
Gypsum Soundstop Peredam Suara 12mm – Panel Akustik Anti Bising Terbaik

Gypsum Soundstop Peredam Suara 12mm – Panel Akustik Anti Bising Terbaik Gypsum Soundstop 12mm adalah panel akustik premium yang dirancang khusus untuk meredam suara secara maksimal pada berbagai jenis ruangan. Dengan material gypsum berperforma tinggi dan teknologi lapisan akustik modern, Soundstop menjadi solusi terbaik untuk menciptakan hunian maupun ruang kerja yang lebih tenang, nyaman, dan… selengkapnya

Halaman
5 Kelebihan Firerock Rockwool Blanket Terbaru

5 Alasan Mengapa Firerock Rockwool Blanket Lebih Unggul Kelebihan Firerock Rockwool Blanket sebagai peredam suara yang berkualitas, menawarkan kinerja yang luar biasa dalam mengurangi kebisingan. Dengan tingkat kepadatan yang lebih tinggi, material ini sangat efektif dalam menyerap gelombang suara. Ini adalah pilihan terbaik untuk ruang musik atau studio rekaman karena akustik yang optimal sangat penting… selengkapnya

5 Keunggulan Glasswool Blanket Soundproof yang Wajib Anda Ketahui!

5 Keunggulan Glasswool Blanket Soundproof yang Wajib Anda Ketahui! Apakah Anda sering terganggu dengan suara bising dari luar ruangan atau antar ruangan? Jika iya, Glasswool Blanket Soundproof adalah solusi tepat untuk meredam suara dan menjaga kenyamanan di dalam ruangan. Dengan kemampuannya meredam kebisingan secara efektif, produk ini sangat cocok digunakan di berbagai jenis bangunan, mulai… selengkapnya

Metalizing Tape MM: 5 Keunggulan Utama untuk Perlindungan Suhu Tinggi

Metalizing Tape MM: 5 Keunggulan Utama untuk Perlindungan Suhu Tinggi Metalizing Tape MM, adalah solusi isolasi termal yang dirancang untuk menghadapi suhu ekstrem, memberikan perlindungan panas yang sangat efektif. Dikenal karena kemampuannya dalam menahan suhu hingga 300°C, tape ini menjadi pilihan utama dalam berbagai aplikasi industri yang membutuhkan ketahanan terhadap suhu tinggi. Dengan lapisan metal… selengkapnya

Ceramic Fiber Board: 7 Keunggulan Unggul yang Wajib Anda Ketahui untuk Isolasi Termal yang Efektif!

Ceramic Fiber Board: 7 Keunggulan Unggul yang Wajib Anda Ketahui untuk Isolasi Termal yang Efektif! Ceramic Fiber Board, Di era industri yang terus berkembang, kebutuhan akan material isolasi termal berkualitas tinggi semakin meningkat. Salah satu produk yang semakin populer adalah Ceramic Fiber Board. Dengan kemampuan isolasi termal yang luar biasa dan keunggulannya dalam berbagai sektor… selengkapnya

🔊7 Keunggulan Hebat Busa Zigzag Soundproof: Solusi Peredam Suara Praktis & Estetik 2025!

🔊7 Keunggulan Hebat Busa Zigzag Soundproof: Solusi Peredam Suara Praktis & Estetik 2025! Busa Zigzag Soundproof, Dalam dunia desain interior akustik, tidak semua ruangan diciptakan dengan kualitas suara yang baik. Gema, pantulan suara, hingga kebocoran suara antar-ruangan sering kali menjadi masalah utama yang mengganggu kenyamanan. Namun kini, ada solusi praktis, efektif, dan ekonomis: busa zigzag… selengkapnya

🔥5 Kelebihan Spektakuler YUMEN Board Soundproof: Panel Dinding Tahan Api & Anti Rayap Paling Andal 2025!

🔥5 Kelebihan Spektakuler YUMEN Board Soundproof: Panel Dinding Tahan Api & Anti Rayap Paling Andal 2025! Yumen Board Soundproof, Dalam dunia konstruksi modern yang menuntut kecepatan, efisiensi, dan kualitas, pemilihan material bangunan menjadi sangat krusial. Terlebih lagi jika proyek yang dikerjakan menuntut ketahanan terhadap api, rayap, kelembapan, serta kenyamanan suara. Untuk menjawab semua kebutuhan tersebut,… selengkapnya

5 Keunggulan Gypsum Akustik Byhua 2025 – Panel Plafon Estetik & Redam Suara Super Efektif!

5 Keunggulan Gypsum Akustik Byhua 2025 – Panel Plafon Estetik & Redam Suara Super Efektif! Gypsum Akustik Byhua, Dalam dunia desain interior modern, kenyamanan akustik bukan lagi sekadar pelengkap, melainkan menjadi kebutuhan utama. Suara yang bergema, bising, atau tidak terkontrol dapat merusak kenyamanan, produktivitas, hingga kualitas hidup. Untuk itulah Gypsum Akustik Byhua hadir sebagai solusi… selengkapnya

5 Keunggulan Gypsum Akustik Sopran 2025 – Panel Plafon Elegan & Redam Suara Maksimal!

5 Keunggulan Gypsum Akustik Sopran 2025 – Panel Plafon Elegan & Redam Suara Maksimal! Gypsum Akustik Sopran, Ingin menciptakan ruangan yang lebih tenang, nyaman, dan akustik sempurna? Kini saatnya Anda beralih ke solusi plafon modern yang tidak hanya tampil elegan, tapi juga memiliki performa redam suara luar biasa: Gypsum Akustik Sopran! Plafon gypsum konvensional sudah… selengkapnya

Social Media & Marketplace
Chat via Whatsapp

Ada yang ditanyakan?
Klik untuk chat dengan customer support kami

Raisa
● online
Benu
● online
Raisa
● online
Halo, perkenalkan saya Raisa
baru saja
Ada yang bisa saya bantu?
baru saja
Produk Quick Order

Pemesanan dapat langsung menghubungi kontak dibawah:

Esi Form

Jika kamu sedang mencari Esi Form, maka anda berada di halaman yang tepat. Kami menyediakan aneka Esi Form yang bisa anda pesan online. Silakan hubungi kami via +6282245078486, jangan lupa sertakan juka gambar yang diinginkan.

Kami mengirim paket Esi Form melalui berbagai ekspedisi, misalnya JNE, JNT, POS, dll. Kami juga menerima pembayaran via BCA/Mandiri/dll. Pengiriman biasanya tidak sampai seminggu sudah sampai dan kami sertakan pula nomor resi yang bisa digunakan untuk tracking barang secara online.

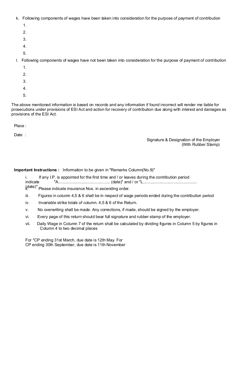
fillable  esi photo size details  attesting  esic

Berbagai Contoh Esi Form

Berikut kami sertakan berbagai contoh gambar untuk Esi Form, silakan save gambar di bawah dengan klik tombol pesan, anda akan kami arahkan pemesanan via WA ke +6282245078486.

esi form 768×1024

esi form

Order Sekarang

pf esi form 768×1024

pf esi form

Order Sekarang

esic form  social security social programs 768×1024

esic form social security social programs

Order Sekarang

esic form 768×1024

esic form

Order Sekarang

employee onboarding form 768×1024

employee onboarding form

Order Sekarang

fillable  esi photo size details  attesting  esic 770×1024

fillable esi photo size details attesting esic

Order Sekarang

employees state insurance corporation form   government business 768×1024

employees state insurance corporation form government business

Order Sekarang

esi form   bapuji stationery martsince   office supplies 416×249

esi form bapuji stationery martsince office supplies

Order Sekarang

generate esi form   return payroll tallyhelp 474×610

generate esi form return payroll tallyhelp

Order Sekarang

fill esi form   esi declaration form 180×300

fill esi form esi declaration form

Order Sekarang

essential documents  esi registration  comprehensive  step guide 1920×1080

essential documents esi registration comprehensive step guide

Order Sekarang

form   esic 768×1024

form esic

Order Sekarang

esi      asanify 1086×1536

esi asanify

Order Sekarang

esic form  declaration form 768×1024

esic form declaration form

Order Sekarang

details required  esic employee registration nominee details 768×1024

details required esic employee registration nominee details

Order Sekarang

esi form  lenvica hrms 826×1259

esi form lenvica hrms

Order Sekarang

form  esi declaration form  cs  social 768×1024

form esi declaration form cs social

Order Sekarang

fillable     esi form    fill   fax 298×386

fillable esi form fill fax

Order Sekarang

esi form  word  employment government 768×1024

esi form word employment government

Order Sekarang

esi form  social institutions social science 768×1024

esi form social institutions social science

Order Sekarang

esic specimen form  declaration form 768×1024

esic specimen form declaration form

Order Sekarang

fillable  esi form  fax email print pdffiller 298×386

fillable esi form fax email print pdffiller

Order Sekarang

blank editable  esicformgrat 768×1024

blank editable esicformgrat

Order Sekarang

esi registration payment return filing addition deletion  family 1201×1155

esi registration payment return filing addition deletion family

Order Sekarang

esi declaration form  employment justice 768×1024

esi declaration form employment justice

Order Sekarang

esi form   government information justice 768×1024

esi form government information justice

Order Sekarang

filled sample esi form 768×1024

filled sample esi form

Order Sekarang

esi sample filled esic form   employee relations industrial 768×1024

esi sample filled esic form employee relations industrial

Order Sekarang

fillable  esi form   verified downloadl fax email print 298×386

fillable esi form verified downloadl fax email print

Order Sekarang

Temukan solusi terbaik untuk kenyamanan ruang Anda dengan Esi Form! Produk peredam suara dan panas ini menawarkan performa maksimal dengan harga yang terjangkau. Dapatkan kualitas unggul tanpa menguras kantong, dan nikmati suasana tenang serta sejuk di setiap sudut rumah atau kantor Anda. Pilih Esi Form – pilihan cerdas untuk investasi jangka panjang!