Delta Function Integral Form

Jika kamu sedang mencari Delta Function Integral Form, maka anda berada di halaman yang tepat. Kami menyediakan aneka Delta Function Integral Form yang bisa anda pesan online. Silakan hubungi kami via +6282245078486, jangan lupa sertakan juka gambar yang diinginkan.

Kami mengirim paket Delta Function Integral Form melalui berbagai ekspedisi, misalnya JNE, JNT, POS, dll. Kami juga menerima pembayaran via BCA/Mandiri/dll. Pengiriman biasanya tidak sampai seminggu sudah sampai dan kami sertakan pula nomor resi yang bisa digunakan untuk tracking barang secara online.

delta function integral relectricalengineering

Tidak hanya Delta Function Integral Form, anda juga bisa melihat gambar lain seperti Square Root, How Find, What is, What Is Definition, Quantum Mechanics, Inverse Fourier Transform, Spherical Coordinates, Physics Definition, Machine Learning, Numerical Approximation, Multiplication Property, 2D Fourier Transform, Differential Equations, Fourier Series, Integral Definition, and Tensor Notation.

Berbagai Contoh Delta Function Integral Form

Berikut kami sertakan berbagai contoh gambar untuk Delta Function Integral Form, silakan save gambar di bawah dengan klik tombol pesan, anda akan kami arahkan pemesanan via WA ke +6282245078486.

periodic delta function  pi kt  pi integral 768×1024

periodic delta function pi kt pi integral

Order Sekarang

fourier integral  delta functions  integral probability 768×1024

fourier integral delta functions integral probability

Order Sekarang

integration delta function integral tricks mathematics stack exchange 666×102

integration delta function integral tricks mathematics stack exchange

Order Sekarang

dirac delta integral form proof mathematics stack exchange 586×155

dirac delta integral form proof mathematics stack exchange

Order Sekarang

delta function tikznet 1214×666

delta function tikznet

Order Sekarang

integration  dimensional integral  delta function mathematics 2560×1440

integration dimensional integral delta function mathematics

Order Sekarang

integral relating  delta function mathematics stack exchange 300×182

integral relating delta function mathematics stack exchange

Order Sekarang

delta function 1900×1761

delta function

Order Sekarang

dimensional integral   delta function 850×475

dimensional integral delta function

Order Sekarang

solved evaluate  delta function integral  note  cheggcom 604×340

solved evaluate delta function integral note cheggcom

Order Sekarang

delta function  wolfram mathworld 1150×724

delta function wolfram mathworld

Order Sekarang

solved perform  integrations  involve  dirac cheggcom 528×397

solved perform integrations involve dirac cheggcom

Order Sekarang

solved dirac delta function fa cheggcom 700×386

solved dirac delta function fa cheggcom

Order Sekarang

quantum mechanics integral  derivative  delta function 1254×238

quantum mechanics integral derivative delta function

Order Sekarang

solved   fourier integral representation   delta cheggcom 1029×231

solved fourier integral representation delta cheggcom

Order Sekarang

solved  delta function integrals  evaluate  cheggcom 557×213

solved delta function integrals evaluate cheggcom

Order Sekarang

calculate   integrals  involve  cheggcom 575×487

calculate integrals involve cheggcom

Order Sekarang

distribution theory  dirac delta function 1080×303

distribution theory dirac delta function

Order Sekarang

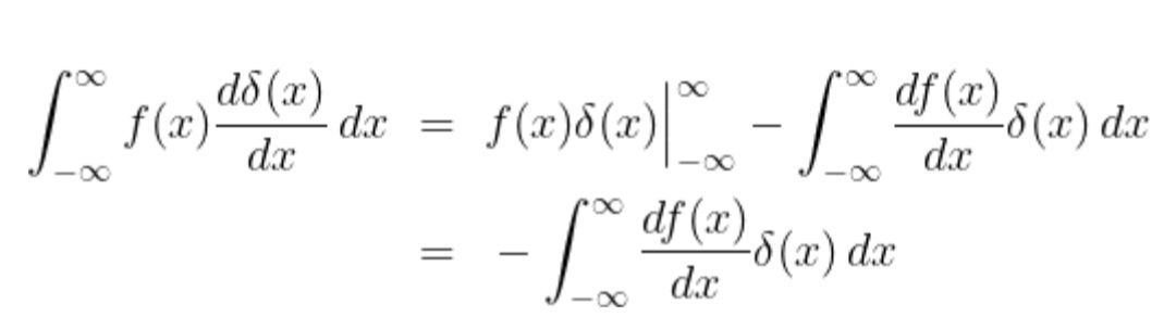
delta function integral relectricalengineering 2968×813

delta function integral relectricalengineering

Order Sekarang

solved  integral involved   derivative  delta cheggcom 972×611

solved integral involved derivative delta cheggcom

Order Sekarang

solved  show   integral representation   delta cheggcom 700×271

solved show integral representation delta cheggcom

Order Sekarang

integration solving integral  sinusoid involving unit step 1036×1044

integration solving integral sinusoid involving unit step

Order Sekarang

integral representation  fractional derivative  delta function 850×1202

integral representation fractional derivative delta function

Order Sekarang

solved  id   understand   integral   cheggcom 477×251

solved id understand integral cheggcom

Order Sekarang

delta function df  scientific diagram 558×280

delta function df scientific diagram

Order Sekarang

perturbation theory    dirac delta function 465×265

perturbation theory dirac delta function

Order Sekarang

integral  series representations   dirac delta function 850×1100

integral series representations dirac delta function

Order Sekarang

hate physics derivatives   delta function 771×344

hate physics derivatives delta function

Order Sekarang

integrals involving delta function delta function  delta function 1151×2421

integrals involving delta function delta function delta function

Order Sekarang

properties  delta function powerpoint  id 720×540

properties delta function powerpoint id

Order Sekarang

find  limits  integration   double integral 394×118

find limits integration double integral

Order Sekarang

dirac delta function powerpoint 1024×1365

dirac delta function powerpoint

Order Sekarang

Temukan solusi terbaik untuk kenyamanan ruang Anda dengan Delta Function Integral Form! Produk peredam suara dan panas ini menawarkan performa maksimal dengan harga yang terjangkau. Dapatkan kualitas unggul tanpa menguras kantong, dan nikmati suasana tenang serta sejuk di setiap sudut rumah atau kantor Anda. Pilih Delta Function Integral Form – pilihan cerdas untuk investasi jangka panjang!

Tidak ada hasil untuk penelusuran kata kunci Delta Function Integral Form

NO RESULT FOUND

Maaf, tidak ada yang cocok dengan kriteria yang Anda cari.

Apa yang ingin Anda lakukan?
« kembali ke Beranda atau gunakan kotak pencarian dibawah ini untuk mulai penelusuran baru.

Social Media & Marketplace
Chat via Whatsapp

Ada yang ditanyakan?
Klik untuk chat dengan customer support kami

Raisa
● online
Benu
● online
Raisa
● online
Halo, perkenalkan saya Raisa
baru saja
Ada yang bisa saya bantu?
baru saja
Produk Quick Order

Pemesanan dapat langsung menghubungi kontak dibawah:

Delta Function Integral Form

Jika kamu sedang mencari Delta Function Integral Form, maka anda berada di halaman yang tepat. Kami menyediakan aneka Delta Function Integral Form yang bisa anda pesan online. Silakan hubungi kami via +6282245078486, jangan lupa sertakan juka gambar yang diinginkan.

Kami mengirim paket Delta Function Integral Form melalui berbagai ekspedisi, misalnya JNE, JNT, POS, dll. Kami juga menerima pembayaran via BCA/Mandiri/dll. Pengiriman biasanya tidak sampai seminggu sudah sampai dan kami sertakan pula nomor resi yang bisa digunakan untuk tracking barang secara online.

solved dirac delta function fa cheggcom

Tidak hanya Delta Function Integral Form, anda juga bisa melihat gambar lain seperti Square Root, How Find, What is, What Is Definition, Quantum Mechanics, Inverse Fourier Transform, Spherical Coordinates, Physics Definition, Machine Learning, Numerical Approximation, Multiplication Property, 2D Fourier Transform, Differential Equations, Fourier Series, Integral Definition, and Tensor Notation.

Berbagai Contoh Delta Function Integral Form

Berikut kami sertakan berbagai contoh gambar untuk Delta Function Integral Form, silakan save gambar di bawah dengan klik tombol pesan, anda akan kami arahkan pemesanan via WA ke +6282245078486.

periodic delta function  pi kt  pi integral 768×1024

periodic delta function pi kt pi integral

Order Sekarang

fourier integral  delta functions  integral probability 768×1024

fourier integral delta functions integral probability

Order Sekarang

integration delta function integral tricks mathematics stack exchange 666×102

integration delta function integral tricks mathematics stack exchange

Order Sekarang

dirac delta integral form proof mathematics stack exchange 586×155

dirac delta integral form proof mathematics stack exchange

Order Sekarang

delta function tikznet 1214×666

delta function tikznet

Order Sekarang

integration  dimensional integral  delta function mathematics 2560×1440

integration dimensional integral delta function mathematics

Order Sekarang

integral relating  delta function mathematics stack exchange 300×182

integral relating delta function mathematics stack exchange

Order Sekarang

delta function 1900×1761

delta function

Order Sekarang

dimensional integral   delta function 850×475

dimensional integral delta function

Order Sekarang

solved evaluate  delta function integral  note  cheggcom 604×340

solved evaluate delta function integral note cheggcom

Order Sekarang

delta function  wolfram mathworld 1150×724

delta function wolfram mathworld

Order Sekarang

solved perform  integrations  involve  dirac cheggcom 528×397

solved perform integrations involve dirac cheggcom

Order Sekarang

solved dirac delta function fa cheggcom 700×386

solved dirac delta function fa cheggcom

Order Sekarang

quantum mechanics integral  derivative  delta function 1254×238

quantum mechanics integral derivative delta function

Order Sekarang

solved   fourier integral representation   delta cheggcom 1029×231

solved fourier integral representation delta cheggcom

Order Sekarang

solved  delta function integrals  evaluate  cheggcom 557×213

solved delta function integrals evaluate cheggcom

Order Sekarang

calculate   integrals  involve  cheggcom 575×487

calculate integrals involve cheggcom

Order Sekarang

distribution theory  dirac delta function 1080×303

distribution theory dirac delta function

Order Sekarang

delta function integral relectricalengineering 2968×813

delta function integral relectricalengineering

Order Sekarang

solved  integral involved   derivative  delta cheggcom 972×611

solved integral involved derivative delta cheggcom

Order Sekarang

solved  show   integral representation   delta cheggcom 700×271

solved show integral representation delta cheggcom

Order Sekarang

integration solving integral  sinusoid involving unit step 1036×1044

integration solving integral sinusoid involving unit step

Order Sekarang

integral representation  fractional derivative  delta function 850×1202

integral representation fractional derivative delta function

Order Sekarang

solved  id   understand   integral   cheggcom 477×251

solved id understand integral cheggcom

Order Sekarang

delta function df  scientific diagram 558×280

delta function df scientific diagram

Order Sekarang

perturbation theory    dirac delta function 465×265

perturbation theory dirac delta function

Order Sekarang

integral  series representations   dirac delta function 850×1100

integral series representations dirac delta function

Order Sekarang

hate physics derivatives   delta function 771×344

hate physics derivatives delta function

Order Sekarang

integrals involving delta function delta function  delta function 1151×2421

integrals involving delta function delta function delta function

Order Sekarang

properties  delta function powerpoint  id 720×540

properties delta function powerpoint id

Order Sekarang

find  limits  integration   double integral 394×118

find limits integration double integral

Order Sekarang

dirac delta function powerpoint 1024×1365

dirac delta function powerpoint

Order Sekarang

Temukan solusi terbaik untuk kenyamanan ruang Anda dengan Delta Function Integral Form! Produk peredam suara dan panas ini menawarkan performa maksimal dengan harga yang terjangkau. Dapatkan kualitas unggul tanpa menguras kantong, dan nikmati suasana tenang serta sejuk di setiap sudut rumah atau kantor Anda. Pilih Delta Function Integral Form – pilihan cerdas untuk investasi jangka panjang!