Conjugates

Jika kamu sedang mencari Conjugates, maka anda berada di halaman yang tepat. Kami menyediakan aneka Conjugates yang bisa anda pesan online. Silakan hubungi kami via +6282245078486, jangan lupa sertakan juka gambar yang diinginkan.

Kami mengirim paket Conjugates melalui berbagai ekspedisi, misalnya JNE, JNT, POS, dll. Kami juga menerima pembayaran via BCA/Mandiri/dll. Pengiriman biasanya tidak sampai seminggu sudah sampai dan kami sertakan pula nomor resi yang bisa digunakan untuk tracking barang secara online.

english verb conjugation images stock  vectors shutterstock

Tidak hanya Conjugates, anda juga bisa melihat gambar lain seperti Spanish Verbs, Antibody-Drug, Complex Numbers, Reflexive Verbs, Acid-Base Pair, What Is Complex, Gradient Method, Acid-Base Reaction, Antigen-Antibody, Polar Form, French Verbs, Ir Verbs French, Definition Example, Gaze Deviation, Matrix Example, Gaze, Complex, Antibody, Complex Number, Calculator, Peptide Drug, Function, Gradient, and Base.

Berbagai Contoh Conjugates

Berikut kami sertakan berbagai contoh gambar untuk Conjugates, silakan save gambar di bawah dengan klik tombol pesan, anda akan kami arahkan pemesanan via WA ke +6282245078486.

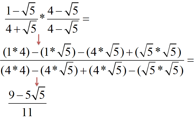
conjugates part 759×459

conjugates part

Order Sekarang

radicals  conjugates examples 677×534

radicals conjugates examples

Order Sekarang

identifying conjugates variation theory 960×720

identifying conjugates variation theory

Order Sekarang

simplifying radical expressions  conjugates worksheet 481×407

simplifying radical expressions conjugates worksheet

Order Sekarang

conjugate  math definition examples lesson studycom 0 x 0

conjugate math definition examples lesson studycom

Order Sekarang

examples  complex conjugates table mathematics resources 1300×1390

examples complex conjugates table mathematics resources

Order Sekarang

conjugation chart  perfect grammar language families 768×543

conjugation chart perfect grammar language families

Order Sekarang

conjugate definition  conjugate youtube 1280×720

conjugate definition conjugate youtube

Order Sekarang

conjugate meaning youtube 0 x 0

conjugate meaning youtube

Order Sekarang

conjugate method  solving limits kristakingmath youtube 0 x 0

conjugate method solving limits kristakingmath youtube

Order Sekarang

conjugate meaning  conjugate youtube 1280×720

conjugate meaning conjugate youtube

Order Sekarang

math video definitions conjugate  algebra youtube 0 x 0

math video definitions conjugate algebra youtube

Order Sekarang

introduction   conjugate youtube 1280×720

introduction conjugate youtube

Order Sekarang

understanding conjugation  key  mastering english verbs youtube 1280×720

understanding conjugation key mastering english verbs youtube

Order Sekarang

conjugate definition illustrated mathematics dictionary 227×138

conjugate definition illustrated mathematics dictionary

Order Sekarang

conjugate 1200×731

conjugate

Order Sekarang

conjugation chart template    illustrator 2488×3508

conjugation chart template illustrator

Order Sekarang

conjugating verbs ab english school 1024×373

conjugating verbs ab english school

Order Sekarang

rationalize  conjugates  surefire examples 1280×720

rationalize conjugates surefire examples

Order Sekarang

comprehensible classroom intro  conjugations 1200×630

comprehensible classroom intro conjugations

Order Sekarang

learn english language blueprints 700×989

learn english language blueprints

Order Sekarang

conjugation definition examples grammar grammarbrain 800×441

conjugation definition examples grammar grammarbrain

Order Sekarang

conjugate definition  examples biology  dictionary 1920×1080

conjugate definition examples biology dictionary

Order Sekarang

english verb conjugation images stock  vectors shutterstock 600×421

english verb conjugation images stock vectors shutterstock

Order Sekarang

conjugating verbs pptx 2048×1152

conjugating verbs pptx

Order Sekarang

conjugation  sentences englishteststore blog 595×420

conjugation sentences englishteststore blog

Order Sekarang

acidbase definitions 960×720

acidbase definitions

Order Sekarang

verb conjugation definition explanation  examples 1280×720

verb conjugation definition explanation examples

Order Sekarang

Temukan solusi terbaik untuk kenyamanan ruang Anda dengan Conjugates! Produk peredam suara dan panas ini menawarkan performa maksimal dengan harga yang terjangkau. Dapatkan kualitas unggul tanpa menguras kantong, dan nikmati suasana tenang serta sejuk di setiap sudut rumah atau kantor Anda. Pilih Conjugates – pilihan cerdas untuk investasi jangka panjang!

Tidak ada hasil untuk penelusuran kata kunci Conjugates

NO RESULT FOUND

Maaf, tidak ada yang cocok dengan kriteria yang Anda cari.

Apa yang ingin Anda lakukan?
« kembali ke Beranda atau gunakan kotak pencarian dibawah ini untuk mulai penelusuran baru.

Social Media & Marketplace
Chat via Whatsapp

Ada yang ditanyakan?
Klik untuk chat dengan customer support kami

Raisa
● online
Benu
● online
Raisa
● online
Halo, perkenalkan saya Raisa
baru saja
Ada yang bisa saya bantu?
baru saja
Produk Quick Order

Pemesanan dapat langsung menghubungi kontak dibawah:

Conjugates

Jika kamu sedang mencari Conjugates, maka anda berada di halaman yang tepat. Kami menyediakan aneka Conjugates yang bisa anda pesan online. Silakan hubungi kami via +6282245078486, jangan lupa sertakan juka gambar yang diinginkan.

Kami mengirim paket Conjugates melalui berbagai ekspedisi, misalnya JNE, JNT, POS, dll. Kami juga menerima pembayaran via BCA/Mandiri/dll. Pengiriman biasanya tidak sampai seminggu sudah sampai dan kami sertakan pula nomor resi yang bisa digunakan untuk tracking barang secara online.

conjugate definition  examples biology  dictionary

Tidak hanya Conjugates, anda juga bisa melihat gambar lain seperti Spanish Verbs, Antibody-Drug, Complex Numbers, Reflexive Verbs, Acid-Base Pair, What Is Complex, Gradient Method, Acid-Base Reaction, Antigen-Antibody, Polar Form, French Verbs, Ir Verbs French, Definition Example, Gaze Deviation, Matrix Example, Gaze, Complex, Antibody, Complex Number, Calculator, Peptide Drug, Function, Gradient, and Base.

Berbagai Contoh Conjugates

Berikut kami sertakan berbagai contoh gambar untuk Conjugates, silakan save gambar di bawah dengan klik tombol pesan, anda akan kami arahkan pemesanan via WA ke +6282245078486.

conjugates part 759×459

conjugates part

Order Sekarang

radicals  conjugates examples 677×534

radicals conjugates examples

Order Sekarang

identifying conjugates variation theory 960×720

identifying conjugates variation theory

Order Sekarang

simplifying radical expressions  conjugates worksheet 481×407

simplifying radical expressions conjugates worksheet

Order Sekarang

conjugate  math definition examples lesson studycom 0 x 0

conjugate math definition examples lesson studycom

Order Sekarang

examples  complex conjugates table mathematics resources 1300×1390

examples complex conjugates table mathematics resources

Order Sekarang

conjugation chart  perfect grammar language families 768×543

conjugation chart perfect grammar language families

Order Sekarang

conjugate definition  conjugate youtube 1280×720

conjugate definition conjugate youtube

Order Sekarang

conjugate meaning youtube 0 x 0

conjugate meaning youtube

Order Sekarang

conjugate method  solving limits kristakingmath youtube 0 x 0

conjugate method solving limits kristakingmath youtube

Order Sekarang

conjugate meaning  conjugate youtube 1280×720

conjugate meaning conjugate youtube

Order Sekarang

math video definitions conjugate  algebra youtube 0 x 0

math video definitions conjugate algebra youtube

Order Sekarang

introduction   conjugate youtube 1280×720

introduction conjugate youtube

Order Sekarang

understanding conjugation  key  mastering english verbs youtube 1280×720

understanding conjugation key mastering english verbs youtube

Order Sekarang

conjugate definition illustrated mathematics dictionary 227×138

conjugate definition illustrated mathematics dictionary

Order Sekarang

conjugate 1200×731

conjugate

Order Sekarang

conjugation chart template    illustrator 2488×3508

conjugation chart template illustrator

Order Sekarang

conjugating verbs ab english school 1024×373

conjugating verbs ab english school

Order Sekarang

rationalize  conjugates  surefire examples 1280×720

rationalize conjugates surefire examples

Order Sekarang

comprehensible classroom intro  conjugations 1200×630

comprehensible classroom intro conjugations

Order Sekarang

learn english language blueprints 700×989

learn english language blueprints

Order Sekarang

conjugation definition examples grammar grammarbrain 800×441

conjugation definition examples grammar grammarbrain

Order Sekarang

conjugate definition  examples biology  dictionary 1920×1080

conjugate definition examples biology dictionary

Order Sekarang

english verb conjugation images stock  vectors shutterstock 600×421

english verb conjugation images stock vectors shutterstock

Order Sekarang

conjugating verbs pptx 2048×1152

conjugating verbs pptx

Order Sekarang

conjugation  sentences englishteststore blog 595×420

conjugation sentences englishteststore blog

Order Sekarang

acidbase definitions 960×720

acidbase definitions

Order Sekarang

verb conjugation definition explanation  examples 1280×720

verb conjugation definition explanation examples

Order Sekarang

Temukan solusi terbaik untuk kenyamanan ruang Anda dengan Conjugates! Produk peredam suara dan panas ini menawarkan performa maksimal dengan harga yang terjangkau. Dapatkan kualitas unggul tanpa menguras kantong, dan nikmati suasana tenang serta sejuk di setiap sudut rumah atau kantor Anda. Pilih Conjugates – pilihan cerdas untuk investasi jangka panjang!