Array Length Cartoon

Jika kamu sedang mencari Array Length Cartoon, maka anda berada di halaman yang tepat. Kami menyediakan aneka Array Length Cartoon yang bisa anda pesan online. Silakan hubungi kami via +6282245078486, jangan lupa sertakan juka gambar yang diinginkan.

Kami mengirim paket Array Length Cartoon melalui berbagai ekspedisi, misalnya JNE, JNT, POS, dll. Kami juga menerima pembayaran via BCA/Mandiri/dll. Pengiriman biasanya tidak sampai seminggu sudah sampai dan kami sertakan pula nomor resi yang bisa digunakan untuk tracking barang secara online.

happy  girl holding ruler  check length cartoon illustration

Tidak hanya Array Length Cartoon, anda juga bisa melihat gambar lain seperti 3-Dimensional, Elementary Math, Task Cards, Anchor Chart, 100 People, Primer Cube, Visual Representation, Clip Art, 2-Dimensional, Speaker System, Multiplication Anchor Chart, 3rd Grade, Technologies Logo, Jedi Survivor, 2, 5X3, Electrode, vs Matrix, Dots, Square Kilometer, and 1.

Berbagai Contoh Array Length Cartoon

Berikut kami sertakan berbagai contoh gambar untuk Array Length Cartoon, silakan save gambar di bawah dengan klik tombol pesan, anda akan kami arahkan pemesanan via WA ke +6282245078486.

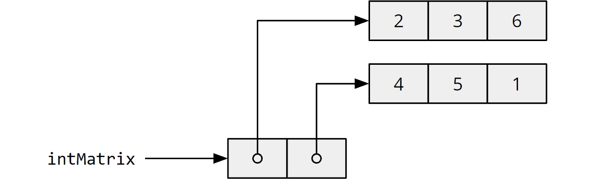
array length   step  step guide 768×469

array length step step guide

Order Sekarang

find  array length 300×84

find array length

Order Sekarang

array length  java 1200×362

array length java

Order Sekarang

array length illustrations royalty  vector graphics clip art 612×459

array length illustrations royalty vector graphics clip art

Order Sekarang

length cartoons  comics funny pictures  cartoonstock 500×346

length cartoons comics funny pictures cartoonstock

Order Sekarang

reactjs   array length  elements stack overflow 673×277

reactjs array length elements stack overflow

Order Sekarang

hair length picture cartoon clipartkey 782×311

hair length picture cartoon clipartkey

Order Sekarang

cartoon intro  arraybuffers  sharedarraybuffers mozilla hacks 3000×2264

cartoon intro arraybuffers sharedarraybuffers mozilla hacks

Order Sekarang

determine  length   array  python 400×400

determine length array python

Order Sekarang

array clipart cute cartoon characters set  icons vector array 640×640

array clipart cute cartoon characters set icons vector array

Order Sekarang

weight  length pattern cartoon style  vector art  vecteezy 1920×1920

weight length pattern cartoon style vector art vecteezy

Order Sekarang

solution  array length problem stack overflow 1920×1080

solution array length problem stack overflow

Order Sekarang

length yellow measuring tape cartoon vector illustration stock vector 1300×630

length yellow measuring tape cartoon vector illustration stock vector

Order Sekarang

length tape measure cartoon vector illustration  vector art 1920×1920

length tape measure cartoon vector illustration vector art

Order Sekarang

understanding width  length isolated cartoon vector image 999×1080

understanding width length isolated cartoon vector image

Order Sekarang

length yellow measuring tape cartoon vector illustration 1920×1920

length yellow measuring tape cartoon vector illustration

Order Sekarang

array clipart monsters   color squares cartoon vector array 640×640

array clipart monsters color squares cartoon vector array

Order Sekarang

check length  array 1128×530

check length array

Order Sekarang

arrarraylength   rprogrammeranimemes 720×447

arrarraylength rprogrammeranimemes

Order Sekarang

demystifying array length  java  comprehensive guide 300×209

demystifying array length java comprehensive guide

Order Sekarang

check  length   array 272×256

check length array

Order Sekarang

length cliparts   length cliparts png images 600×308

length cliparts length cliparts png images

Order Sekarang

adorable child measuring length  hand span  cartoon style 626×351

adorable child measuring length hand span cartoon style

Order Sekarang

minimalist cartoonish array illustration  white background design 1600×1690

minimalist cartoonish array illustration white background design

Order Sekarang

happy  girl holding ruler  check length cartoon illustration 2000×1121

happy girl holding ruler check length cartoon illustration

Order Sekarang

array length calculation    complete guide  future fanatic 900×600

array length calculation complete guide future fanatic

Order Sekarang

cartoon  behance 404×316

cartoon behance

Order Sekarang

shortest cartoons illustrations vector stock images  pictures 1131×1690

shortest cartoons illustrations vector stock images pictures

Order Sekarang

crayons cartoon vector images 602×500

crayons cartoon vector images

Order Sekarang

multiplication cartoon vector images 500×500

multiplication cartoon vector images

Order Sekarang

length measurement stock illustrations  length measurement stock 800×800

length measurement stock illustrations length measurement stock

Order Sekarang

Temukan solusi terbaik untuk kenyamanan ruang Anda dengan Array Length Cartoon! Produk peredam suara dan panas ini menawarkan performa maksimal dengan harga yang terjangkau. Dapatkan kualitas unggul tanpa menguras kantong, dan nikmati suasana tenang serta sejuk di setiap sudut rumah atau kantor Anda. Pilih Array Length Cartoon – pilihan cerdas untuk investasi jangka panjang!

Tidak ada hasil untuk penelusuran kata kunci Array Length Cartoon

NO RESULT FOUND

Maaf, tidak ada yang cocok dengan kriteria yang Anda cari.

Apa yang ingin Anda lakukan?
« kembali ke Beranda atau gunakan kotak pencarian dibawah ini untuk mulai penelusuran baru.

Social Media & Marketplace
Chat via Whatsapp

Ada yang ditanyakan?
Klik untuk chat dengan customer support kami

Raisa
● online
Benu
● online
Raisa
● online
Halo, perkenalkan saya Raisa
baru saja
Ada yang bisa saya bantu?
baru saja
Produk Quick Order

Pemesanan dapat langsung menghubungi kontak dibawah:

Array Length Cartoon

Jika kamu sedang mencari Array Length Cartoon, maka anda berada di halaman yang tepat. Kami menyediakan aneka Array Length Cartoon yang bisa anda pesan online. Silakan hubungi kami via +6282245078486, jangan lupa sertakan juka gambar yang diinginkan.

Kami mengirim paket Array Length Cartoon melalui berbagai ekspedisi, misalnya JNE, JNT, POS, dll. Kami juga menerima pembayaran via BCA/Mandiri/dll. Pengiriman biasanya tidak sampai seminggu sudah sampai dan kami sertakan pula nomor resi yang bisa digunakan untuk tracking barang secara online.

length cliparts   length cliparts png images

Tidak hanya Array Length Cartoon, anda juga bisa melihat gambar lain seperti 3-Dimensional, Elementary Math, Task Cards, Anchor Chart, 100 People, Primer Cube, Visual Representation, Clip Art, 2-Dimensional, Speaker System, Multiplication Anchor Chart, 3rd Grade, Technologies Logo, Jedi Survivor, 2, 5X3, Electrode, vs Matrix, Dots, Square Kilometer, 1, 4X6 Array Cartoon, Array Poster, 4X6 Aray Cartoon, 6X9 Array Cartoon, Bar Array, Array Activity, Array Activities, Donut Array, Array of 16, Cartoon Dozen Eggs, Reverse Array, and Arrays for Kids.

Berbagai Contoh Array Length Cartoon

Berikut kami sertakan berbagai contoh gambar untuk Array Length Cartoon, silakan save gambar di bawah dengan klik tombol pesan, anda akan kami arahkan pemesanan via WA ke +6282245078486.

array length   step  step guide 768×469

array length step step guide

Order Sekarang

find  array length 300×84

find array length

Order Sekarang

array length  java 1200×362

array length java

Order Sekarang

array length illustrations royalty  vector graphics clip art 612×459

array length illustrations royalty vector graphics clip art

Order Sekarang

length cartoons  comics funny pictures  cartoonstock 500×346

length cartoons comics funny pictures cartoonstock

Order Sekarang

reactjs   array length  elements stack overflow 673×277

reactjs array length elements stack overflow

Order Sekarang

hair length picture cartoon clipartkey 782×311

hair length picture cartoon clipartkey

Order Sekarang

cartoon intro  arraybuffers  sharedarraybuffers mozilla hacks 3000×2264

cartoon intro arraybuffers sharedarraybuffers mozilla hacks

Order Sekarang

determine  length   array  python 400×400

determine length array python

Order Sekarang

array clipart cute cartoon characters set  icons vector array 640×640

array clipart cute cartoon characters set icons vector array

Order Sekarang

weight  length pattern cartoon style  vector art  vecteezy 1920×1920

weight length pattern cartoon style vector art vecteezy

Order Sekarang

solution  array length problem stack overflow 1920×1080

solution array length problem stack overflow

Order Sekarang

length yellow measuring tape cartoon vector illustration stock vector 1300×630

length yellow measuring tape cartoon vector illustration stock vector

Order Sekarang

length tape measure cartoon vector illustration  vector art 1920×1920

length tape measure cartoon vector illustration vector art

Order Sekarang

understanding width  length isolated cartoon vector image 999×1080

understanding width length isolated cartoon vector image

Order Sekarang

length yellow measuring tape cartoon vector illustration 1920×1920

length yellow measuring tape cartoon vector illustration

Order Sekarang

array clipart monsters   color squares cartoon vector array 640×640

array clipart monsters color squares cartoon vector array

Order Sekarang

check length  array 1128×530

check length array

Order Sekarang

arrarraylength   rprogrammeranimemes 720×447

arrarraylength rprogrammeranimemes

Order Sekarang

demystifying array length  java  comprehensive guide 300×209

demystifying array length java comprehensive guide

Order Sekarang

check  length   array 272×256

check length array

Order Sekarang

length cliparts   length cliparts png images 600×308

length cliparts length cliparts png images

Order Sekarang

adorable child measuring length  hand span  cartoon style 626×351

adorable child measuring length hand span cartoon style

Order Sekarang

minimalist cartoonish array illustration  white background design 1600×1690

minimalist cartoonish array illustration white background design

Order Sekarang

happy  girl holding ruler  check length cartoon illustration 2000×1121

happy girl holding ruler check length cartoon illustration

Order Sekarang

array length calculation    complete guide  future fanatic 900×600

array length calculation complete guide future fanatic

Order Sekarang

cartoon  behance 404×316

cartoon behance

Order Sekarang

shortest cartoons illustrations vector stock images  pictures 1131×1690

shortest cartoons illustrations vector stock images pictures

Order Sekarang

crayons cartoon vector images 602×500

crayons cartoon vector images

Order Sekarang

multiplication cartoon vector images 500×500

multiplication cartoon vector images

Order Sekarang

length measurement stock illustrations  length measurement stock 800×800

length measurement stock illustrations length measurement stock

Order Sekarang

Temukan solusi terbaik untuk kenyamanan ruang Anda dengan Array Length Cartoon! Produk peredam suara dan panas ini menawarkan performa maksimal dengan harga yang terjangkau. Dapatkan kualitas unggul tanpa menguras kantong, dan nikmati suasana tenang serta sejuk di setiap sudut rumah atau kantor Anda. Pilih Array Length Cartoon – pilihan cerdas untuk investasi jangka panjang!